[机器学习]机器学习常用的模型评估方法
目录混淆矩阵正确率精确率召回率灵敏度伪阳性率特异度P-R曲线:F1-值ROC曲线AUC面积均方误差均方根误差平均绝对误差混淆矩阵实际值\预测值预测值PositiveNegative实际值PositiveTPFNNegativeFP
目录
混淆矩阵
实际值\预测值 |
预测值 |
||
Positive |
Negative |
||
实际值 |
Positive |
TP |
FN |
Negative |
FP |
TN |
TP: 真阳性,即实际为阳性,预测为阳性
FP:假阳性,即实际为阴性,预测为阳性
FN: 假阴性,即实际为阳性,预测为阴性
TN: 真阴性,即实际为阴性,预测为阴性
在信息检索领域,精确率和召回率又被称为查准率和查全率:
查准率=检索出的相关信息量/检索出的信息总量
查全率=检索出的相关信息量/系统中的相关信息总量
正确率
正确率(Accuracy)又叫准确率,反映一个模型能够预测正确的程度。当数据十分不平衡的时候,将会把所有结果预测为某一类,如样本阳性:阴性为100000:1时,可能预测为阳性的概率非常高。
精确率
精准率(precision)又叫查准率、精准率、精度:是针对我们预测结果而言的,它表示的是预测为正的样本中有多少是真正的正样本。
召回率
召回率(Recall)又叫查全率:是针对我们原来的样本而言的,它表示的是样本中的正例有多少被预测正确了。
灵敏度
灵敏度(Sensitivity)真阳性率、命中率 (hit rate):预测为阳性中占实际为阳性比重,和召回率同一个计算方式。值越高,说明漏掉阳性的比例越低,但是有可能出现假阳性。
伪阳性率
伪阳性率(FPR, false positive rate) 又称错误命中率,假警报率 (false alarm rate),即假阳性站实际阴性的比重。
特异度
特异度(Specificity)也称真阴性率:预测为阴性中占实际为阴性比重。值越高,说明漏掉阴性的比例越低,但是有可能出现假阴性。
P-R曲线:
即精确率-召回率曲线。横坐标为召回率Recall,纵坐标为精准率Precision。
P-R曲线反映查准率和查全率之间的关系,查准率和查全率是一对矛盾的度量,一般来说,查准率高时,查全率往往偏低,查全率高时,查准率往往偏低。
当用该指标衡量模型好坏时,在多个P-R曲线比较中,在该图中有两个指标值能说明该指标的差异:
(1)一个学习器的P-R曲线被另一个学习器的P-R曲线完全包住,则可断言后者的性能优于前者
(2)查准率=查全率时的取值,如果这个值较大,则说明学习器的性能较好
F1-值
F1-值(F1-Measure)也称F1-Sore,是精准率和召回率的调和平均数。用于衡量模型的健壮性,实际中如果对业务不是太熟悉,一般把取该值的最大值作为模型的最好状态。
ROC曲线
接收者操作特征曲线(receiver operating characteristic curve),是反映敏感性和伪阳性率连续变量的综合指标,将伪阳性率(FPR)定义为 X 轴,真阳性率(TPR)定义为 Y 轴。
从 (0, 0) 到 (1,1) 的对角线将ROC空间划分为左上/右下两个区域,在这条线的以上的点代表了一个好的分类结果(胜过随机分类),而在这条线以下的点代表了差的分类结果(劣于随机分类)。
完美的预测是在左上角的点,在ROC空间座标 (0,1)点,X=0 代表着没有伪阳性,Y=1 代表着没有伪阴性(所有的阳性都是真阳性);也就是说,不管分类器输出结果是阳性或阴性,都是100%正确。
AUC面积
AUC(Area under curve)即ROC曲线下的面积,是一个模型评价的指标,只能用于二分类模型的评价。 ROC曲线的横轴是FPR,纵轴是TPR,当二者相等时,即y=x,表示的意义是:对于不论真实类别是阳性还是阴性的样本,分类器预测为阳性的概率是相等的,实际上该模型没有任何意义。实际训练模型中应该使TPR尽量大,FPR尽量小,即取AUC的极大值。
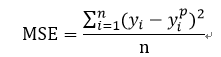
均方误差
均方误差(MSE)又称为二次损失,L2损失(Mean Square Error, Quadratic Loss, L2 Loss),是最常用的回归损失函数,用于衡量回归模型,值越小,证明模型越好。损失函数是衡量预测模型预测期望结果表现的指标。寻找函数最小值。
均方根误差
均方根误差即RMSE(Root Mean Square Error),均方误差(MSE)的平方根。
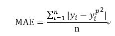
平均绝对误差
平均绝对误差又称为L1损失(Mean Absolute Error, L1 Loss),平均绝对误差(MAE)是另一种用于回归模型的损失函数。MAE是目标变量和预测变量之间差异绝对值之和。因此,它在一组预测中衡量误差的平均大小,而不考虑误差的方向。
MSE与MAE差异:MSE越大,如果数据有某些点离数据中心很远,MSE增长得就很快。直观来说,对观测数据,如果我们只给一个预测结果来最小化MSE,那么该预测值是所有目标值的均值。但是如果我们试图最小化MAE,那么这个预测就是所有目标值的中位数。中位数对于离群点比平均值更鲁棒,这使得MAE比MSE更加鲁棒。
在实际业务中,如果离群点是会影响业务、而且是应该被检测到的异常值,那么我们应该使用MSE。另一方面,如果我们认为离群点仅仅代表数据损坏,那么我们应该选择MAE作为损失。

魔乐社区(Modelers.cn) 是一个中立、公益的人工智能社区,提供人工智能工具、模型、数据的托管、展示与应用协同服务,为人工智能开发及爱好者搭建开放的学习交流平台。社区通过理事会方式运作,由全产业链共同建设、共同运营、共同享有,推动国产AI生态繁荣发展。
更多推荐
所有评论(0)