C/C++简单思路-简单算术表达式二叉树的构建和求值《数据结构》
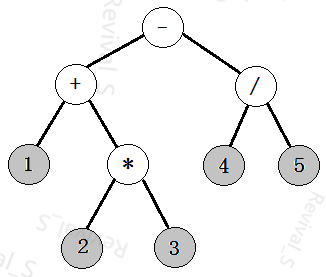
实验:编写一个二叉树来表示一个简单算术表达式,树的每一个结点包括一个运算符或运算数。在简单算术表达式中只包含 + - * / 和 一位正整数。并且按要求先乘除后加减的原则构造二叉树。所示为1+2*3-4/5 代数表达式对应的二叉树,然后由对应二叉树计算该表达式的值解题思路:1.给出一个简单算术表达式,形如:1+2*3-4/5,这个表达式其实就是中缀表达式(栈的那一章),也是这颗二叉树的中序遍历;2
实验:编写一个二叉树来表示一个简单算术表达式,树的每一个结点包括一个运算符或运算数。在简单算术表达式中只包含 + - * / 和 一位正整数。并且按要求先乘除后加减的原则构造二叉树。
所示为1+2*3-4/5 代数表达式对应的二叉树,然后由对应二叉树计算该表达式的值

解题思路:
1.给出一个简单算术表达式,形如:1+2*3-4/5,这个表达式其实就是中缀表达式(栈的那一章),也是这颗二叉树的中序遍历;
2.且 二叉树可以由 中序遍历 和 先序 或 后序遍历 求出一颗唯一二叉树,中序表达式已经有了,现在只需要利用栈的特性,就可以得出后序遍历;
3.接着由两个遍历的排序可以推演(构建)出一颗唯一二叉树;
4.最后再用 深度优先的算法思想 给这颗构建好的二叉树求值;
以下是 由 中序遍历 转 后序遍历 的详细代码:
char* Sort_Change(Satack &S, char *formula) { //转后缀表达式
int i = 0, k = 0, count = 0;
char *str = (char*)calloc(sizeof(char), 10);
while (formula[i] != '\0') {
if (formula[i] > 47 && formula[i] < 58) { //如果是数字,直接排列进数组
str[k++] = formula[i];
count++;
}
if (formula[i] == '+' || formula[i] == '-') { //@ 如果是+ 、 - 号 ,考虑栈优先级
if (S.c[S.top - 1] == '*' || S.c[S.top - 1] == '/') {
while (S.top != 0) {
str[k++] = Pop(S);
}
Push(S, formula[i]);
} else {
Push(S, formula[i]);
}
}
if (formula[i] == '*' || formula[i] == '/') { //如果是* / 直接进栈
Push(S, formula[i]);
}
i++;
}
假设输入的式子为:1+2*3-4/5 ,经过这段代码将会生成一个 后缀模式:123*+45/-;
接下来就可以又两个表达书确定一颗唯一的二叉树 ; //(怎么推演的,这里不做解释)
以下是由中序 、 后序遍历 构造一颗二叉树的代码:
Bnode* Insert_Tree(char str[], char laststr[], int n) { //参数说明str 是后续遍历 laststr 是中序遍历 n为算式长度
Bnode *b;
char r, *p;
int k;
if (n <= 0)return NULL;
r = *(str + n - 1);
b = (Bnode*)malloc(sizeof(Bnode));
b->data = r;
for (p = laststr; p <= laststr + n; p++) {
if (*p == r)break;
}
k = p - laststr;
b->lchild = Insert_Tree(str, laststr, k);
b->rchild = Insert_Tree(str + k, p + 1, n - k - 1);
return b;
}
这样就构造好一颗 由 1+2*3-4/5 和 123*+45/- 推演出来的二叉树;
最后,再用 深度优先算法 计算这颗二叉树即可,详情看代码;
int evaluation(Bnode *B) {
if (B) {
if (B->data > 47 && B->data < 58) { //数字直接返回
return B->data - '0';
}
//**运算符 则跟返回的数字进行相应运算 此处采用深度优先算法(DF)的思想
switch (B->data) {
case 43:// +
return evaluation(B->lchild) + evaluation(B->rchild);
break;
case 45:// -
return evaluation(B->lchild) - evaluation(B->rchild);
break;
case 42:// *
return evaluation(B->lchild) * evaluation(B->rchild);
break;
case 47:// /
return evaluation(B->lchild) / evaluation(B->rchild);
break;
}
}
return 0;
}
以上为此实验主要思路,下面贴出完整代码:
(WIN10 64平台,编译器:小熊猫Dev C++ : MinGW GCC10.2.0)
#include<stdio.h>
#include<stdlib.h>
#include<iostream>
#include<string.h>
using namespace std;
typedef struct node {
char data;
struct node *lchild, *rchild;
} Bnode;
typedef struct tack {
char c[10];
int top ;
} Satack;
//栈的操作 栈的操作 栈的操作 栈的操作 栈的操作 栈的操作
void Creat_Satack(Satack &S) { //初始化栈
S.top = 0;
}
bool Is_Empty(Satack &S) { //栈判空
return S.top == 0 ? true : false;
}
bool Is_Full(Satack &S) { //栈判满
return S.top == 11 ? true : false;
}
bool Push(Satack &S, char str) { //进栈
if (Is_Full(S))return false;
S.c[S.top++] = str;
return true;
}
char Pop(Satack &S) { //出栈
if (Is_Empty(S))return 0;
return S.c[--S.top];
}
//@ 将原中缀表达式,转换成后缀表达式
//**
//利用栈的特性
char* Sort_Change(Satack &S, char *formula) { //转后缀表达式
int i = 0, k = 0, count = 0;
char *str = (char*)calloc(sizeof(char), 10);
while (formula[i] != '\0') {
if (formula[i] > 47 && formula[i] < 58) { //如果是数字,直接排列进数组
str[k++] = formula[i];
count++;
}
if (formula[i] == '+' || formula[i] == '-') { //@ 如果是+ 、 - 号 ,考虑栈优先级
if (S.c[S.top - 1] == '*' || S.c[S.top - 1] == '/') {
while (S.top != 0) {
str[k++] = Pop(S);
}
Push(S, formula[i]);
} else {
Push(S, formula[i]);
}
}
if (formula[i] == '*' || formula[i] == '/') { //如果是* / 直接进栈
Push(S, formula[i]);
}
i++;
}
//**
//遍历完了以后,判断栈里还有没有运算符 ,如有,全部输出
//**
while (S.top != 0) {
str[k++] = Pop(S);
}
return str;
}
//树的操作 树的操作 树的操作 树的操作 树的操作 树的操作
// @可以根据 原式(中缀表达)和 转换后的后缀表达式 构造树
// 例
// 中缀:1+2*3-4/5
// 后缀:123*+45/-
//
//@由中缀表达式和后缀表达式(或前缀表达式) 即可推出构造树!
//**
//@ 此函数,思路是我的,代码是课本的
Bnode* Insert_Tree(char str[], char laststr[], int n) { //构造二叉树 ,此处参照课本 ,详情看课本 P.231
Bnode *b;
char r, *p;
int k;
if (n <= 0)return NULL;
r = *(str + n - 1);
b = (Bnode*)malloc(sizeof(Bnode));
b->data = r;
for (p = laststr; p <= laststr + n; p++) {
if (*p == r)break;
}
k = p - laststr;
b->lchild = Insert_Tree(str, laststr, k);
b->rchild = Insert_Tree(str + k, p + 1, n - k - 1);
return b;
}
void firstroutine(Bnode *B) { //先序 遍历
if (B) {
printf(" %c ", B->data); //先访问根节点
firstroutine(B->lchild); //再访问左数
firstroutine(B->rchild); //最后再右树
}
return;
}
//** 二叉树求值 深度优先搜索 DF
int evaluation(Bnode *B) {
if (B) {
if (B->data > 47 && B->data < 58) { //数字直接返回
return B->data - '0';
}
//**运算符 则跟返回的数字进行相应运算 此处采用深度优先算法(DF)的思想
switch (B->data) {
case 43:// +
return evaluation(B->lchild) + evaluation(B->rchild);
break;
case 45:// -
return evaluation(B->lchild) - evaluation(B->rchild);
break;
case 42:// *
return evaluation(B->lchild) * evaluation(B->rchild);
break;
case 47:// /
return evaluation(B->lchild) / evaluation(B->rchild);
break;
}
}
return 0;
}
int main() {
Satack S;
Creat_Satack(S);
Bnode *T;
char formula[10];
char *formula1;
cout << "输入简单算术表达式:" << endl;
gets(formula);//输入中缀表达式
formula1 = Sort_Change(S, formula);//转换成后缀表达式,由formula1进行地址接收
T = Insert_Tree(formula1, formula, strlen(formula)); //又中缀、后缀表达式 构造二叉树T
cout << "数得构造 : 先序遍历:" << endl;
firstroutine(T); //输出 二叉树 T 的先序遍历
printf("/n %d", evaluation(T));//深度优先算法 进行二叉树求值
}
运行结果:

感谢阅读
魔乐社区(Modelers.cn) 是一个中立、公益的人工智能社区,提供人工智能工具、模型、数据的托管、展示与应用协同服务,为人工智能开发及爱好者搭建开放的学习交流平台。社区通过理事会方式运作,由全产业链共同建设、共同运营、共同享有,推动国产AI生态繁荣发展。
更多推荐



所有评论(0)