左程云一周刷爆LeetCode 视频笔记 01.认识复杂度和简单排序算法
由于满足交换律,可让偶数次的数先异或,得0,奇数次的数异或后得本身,0与任何数异或得这个数。假设eor第八位是1,不妨设a的第八位为1,则b的第八位为0,偶数次的others里也有第八位为0或1的,分别划入指定位置。创建变量eor’=0,然后让eor’与第八位是1的所有数异或,偶数次异或为0,则eor’=a。由于满足交换律,可让偶数次的数先异或,得0,奇数次的数异或后得本身,0与任何数异或得这个数
01.认识复杂度和简单排序算法
位运算
与:两个是1才是1
或:只要有一个是1就是1
异或:只有11跟或不同,其他一样。(更好的记忆方式:相同是0)
取反:0变1,1变0
异或运算(属于位逻辑运算)
-
异或运算就是无进位加法
-
异或性质
- 满足交换,结合
- 0 ^ N=N, N ^ N=0
- 实例
-
三行代码实现数据交换
-
(1)一个数组 int arr[],一种数出现奇数次,其余数全部出现偶数次,求奇数次的数。时间复杂度为O(n),空间复杂度为O(1)。
(2)一个数组 int arr[],两种数出现奇数次,其余数全部出现偶数次,求奇数次的数。时间复杂度为O(n),空间复杂度为O(1)。
解答:(1)创建变量eor=0,与数组的每个数进行异或运算。由于满足交换律,可让偶数次的数先异或,得0,奇数次的数异或后得本 身,0与任何数异或得这个数。则eor为奇数次的数。
(2)
创建变量eor=0,与数组的每个数进行异或运算。由于满足交换律,可让偶数次的数先异或,得0,奇数次的数异或后得本身,0与任何数异或得这个数。则eor为a ^ b。由于a!=b,则eor!=0。那么a和b肯定至少有一位上不一样,即eor肯定至少有一位是1。假设eor第八位是1,不妨设a的第八位为1,则b的第八位为0,偶数次的others里也有第八位为0或1的,分别划入指定位置。创建变量eor’=0,然后让eor’与第八位是1的所有数异或,偶数次异或为0,则eor’=a。再让eor ^ eor’(a ^ b ^ a),得b。
提取最右侧的1
第二问代码
public static void printOddTimesNum2(int[] arr){
int eor = 0;
for (int cur:arr) {
eor ^= cur; //eor = a^b
}
int rightOne = (~eor + 1) & eor; //提取最右侧的1
int onlyOne = 0; //eor'
for(int cur : arr){
if((cur & rightOne) == 0){
onlyOne ^= cur; //eor'=a|b
}
}
System.out.println(onlyOne+" "+(eor^onlyOne));
}
插入排序
比冒泡和选择要快,这两个一直都是O(n2),而插入最差O(n2),最好Ω(n)。
public static void insertionSort(int[] arr){
if(arr == null || arr.length < 2){
return;
}
for(int i = 1; i < arr.length; i++){
for(int j = i-1; j >= 0 && arr[j] > arr[j+1]; j--){
swap(arr, j, j+1);
}
}
}
public static void swap(int[] arr, i, j){ //投机解法,详见异或运算实例
arr[i] = arr[i] ^ arr[j];
arr[j] = arr[i] ^ arr[j];
arr[i] = arr[i] ^ arr[j];
}
二分法
时间复杂度O(log2N)
用途:
-
寻找数组中的一个数
-
寻找大于或小于某数的最左侧或最右侧的数的位置
并不是只有有序数列才可以二分,特定问题的无序数列也可以。例如找局部最小值。
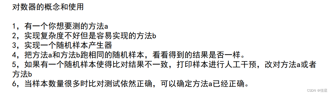
对数器
递归
例题:用递归方法找一个数组中的最大值
public static int process(int[] arr, int l, int r){
if(l == r){
return arr[l];
}
int mid = l + ((r-l)>>1);
int leftMax = process(arr, l, mid);
int rightMax = process(arr, mid+1, r);
return Math.max(leftMax, rightMax)
}
public static int getMax(int[] arr){
return process(arr, 0, arr.length-1);
}
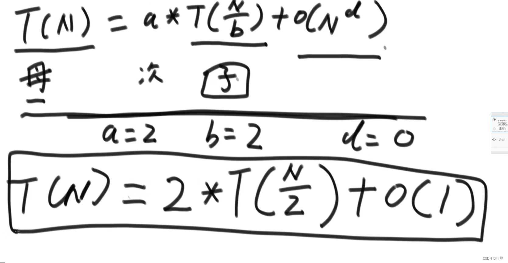
master公式
条件:满足子问题等规模的递归
T(N)=a∗T(Nb)+O(Nd) T(N)=a*T(\frac Nb)+O(N^d) T(N)=a∗T(bN)+O(Nd)
利用master公式算时间复杂度
1)logba>d→复杂度为O(Nlogba)1) log_ba > d \rightarrow 复杂度为O(N^{log_ba}) 1)logba>d→复杂度为O(Nlogba)
2)logba<d→复杂度为O(Nd) 2) log_ba < d \rightarrow 复杂度为O(N^d) 2)logba<d→复杂度为O(Nd)
3)logba=d→复杂度为O(Nd∗log2N) 3) log_ba = d \rightarrow 复杂度为O(N^d*log_2N) 3)logba=d→复杂度为O(Nd∗log2N)

魔乐社区(Modelers.cn) 是一个中立、公益的人工智能社区,提供人工智能工具、模型、数据的托管、展示与应用协同服务,为人工智能开发及爱好者搭建开放的学习交流平台。社区通过理事会方式运作,由全产业链共同建设、共同运营、共同享有,推动国产AI生态繁荣发展。
更多推荐
所有评论(0)