pytorch入门学习第二课词向量和语言模型
01词向量在计算机中表示一个词离散表示: One-hot表示离散表示:Bag of Words离散表示:Bi-gram和N-gram离散表示的问题词编码需要保证词的相似性简单 词/短语 翻译词嵌入效果评估: 词类比任务02语言模型语言模型语言模型的评价基于神经网络的语言模型(Neural Language Model)循环神经网络(Recurrent Neural Network)h0一般就是一个
01词向量
在计算机中表示一个词
离散表示: One-hot表示
离散表示:Bag of Words
离散表示:Bi-gram和N-gram
离散表示的问题
词编码需要保证词的相似性
简单 词/短语 翻译
词嵌入效果评估: 词类比任务
02语言模型
语言模型
语言模型的评价
基于神经网络的语言模型(Neural Language Model)
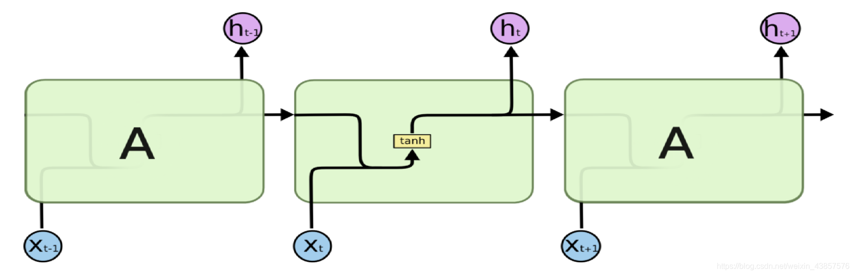
循环神经网络(Recurrent Neural Network)
h0一般就是一个全部为0的向量
如何训练?Cross Entropy损失函数
随机梯度下降 SGD
梯度消失和爆炸问题
根据反向传播(链式法则),梯度会不断相乘,很容易梯度消失或者爆炸
训练RNN
长短记忆网络(Long Short-term Memory)
LSTM是RNN的一种,大体结构几乎一样。区别是?
它的“记忆细胞”改造过。
该记的信息会一直传递,不该记的会被“门”截断。
RNN记忆细胞
LSTM记忆细胞
Gated Recurrent Unit
第二课课后复习思维导图
代码
import torch
import torch.nn as nn
import torch.nn.functional as F
import torch.utils.data as tud
from torch.nn.parameter import Parameter
from collections import Counter
import numpy as np
import random
import math
import pandas as pd
import scipy
import sklearn
from sklearn.metrics.pairwise import cosine_similarity
USE_CUDA = torch.cuda.is_available()
# 为了保证实验结果可以复现,我们经常会把各种random seed固定在某一个值
random.seed(53113)
np.random.seed(53113)
torch.manual_seed(53113)
if USE_CUDA:
torch.cuda.manual_seed(53113)
# 设定一些超参数
K = 100 # number of negative samples
C = 3 # nearby words threshold
NUM_EPOCHS = 2 # The number of epochs of training
MAX_VOCAB_SIZE = 30000 # the vocabulary size
BATCH_SIZE = 128 # the batch size
LEARNING_RATE = 0.2 # the initial learning rate
EMBEDDING_SIZE = 100
LOG_FILE = "word-embedding.log"
# tokenize函数,把一篇文本转化成一个个单词
def word_tokenize(text):
return text.split()
- 从文本文件中读取所有的文字,通过这些文本创建一个vocabulary
- 由于单词数量可能太大,我们只选取最常见的MAX_VOCAB_SIZE个单词
- 我们添加一个UNK单词表示所有不常见的单词
- 我们需要记录单词到index的mapping,以及index到单词的mapping,单词的count,单词的(normalized)
frequency,以及单词总数。
with open("text8.train.txt", "r") as fin:
text = fin.read()
text = [w for w in word_tokenize(text.lower())]
vocab = dict(Counter(text).most_common(MAX_VOCAB_SIZE-1))
vocab["<unk>"] = len(text) - np.sum(list(vocab.values()))
idx_to_word = [word for word in vocab.keys()]
word_to_idx = {word:i for i, word in enumerate(idx_to_word)}
word_counts = np.array([count for count in vocab.values()], dtype=np.float32)
word_freqs = word_counts / np.sum(word_counts)
word_freqs = word_freqs ** (3./4.)
word_freqs = word_freqs / np.sum(word_freqs) # 用来做 negative sampling
VOCAB_SIZE = len(idx_to_word)
VOCAB_SIZE
output:30000
实现Dataloader
一个dataloader需要以下内容:
- 把所有text编码成数字,然后用subsampling预处理这些文字。
- 保存vocabulary,单词count,normalized word frequency
- 每个iteration sample一个中心词
- 根据当前的中心词返回context单词
- 根据中心词sample一些negative单词
- 返回单词的counts
- 这里有一个好的tutorial介绍如何使用PyTorch dataloader.
为了使用dataloader,我们需要定义以下两个function: - len function需要返回整个数据集中有多少个item
- get 根据给定的index返回一个item
有了dataloader之后,我们可以轻松随机打乱整个数据集,拿到一个batch的数据等等。
class WordEmbeddingDataset(tud.Dataset):
def __init__(self, text, word_to_idx, idx_to_word, word_freqs, word_counts):
''' text: a list of words, all text from the training dataset
word_to_idx: the dictionary from word to idx
idx_to_word: idx to word mapping
word_freq: the frequency of each word
word_counts: the word counts
'''
super(WordEmbeddingDataset, self).__init__()
self.text_encoded = [word_to_idx.get(t, VOCAB_SIZE-1) for t in text]
self.text_encoded = torch.Tensor(self.text_encoded).long()
self.word_to_idx = word_to_idx
self.idx_to_word = idx_to_word
self.word_freqs = torch.Tensor(word_freqs)
self.word_counts = torch.Tensor(word_counts)
def __len__(self):
''' 返回整个数据集(所有单词)的长度
'''
return len(self.text_encoded)
def __getitem__(self, idx):
''' 这个function返回以下数据用于训练
- 中心词
- 这个单词附近的(positive)单词
- 随机采样的K个单词作为negative sample
'''
center_word = self.text_encoded[idx]
pos_indices = list(range(idx-C, idx)) + list(range(idx+1, idx+C+1))
pos_indices = [i%len(self.text_encoded) for i in pos_indices]
pos_words = self.text_encoded[pos_indices]
neg_words = torch.multinomial(self.word_freqs, K * pos_words.shape[0], True)
return center_word, pos_words, neg_words
创建dataset和dataloader
dataset = WordEmbeddingDataset(text, word_to_idx, idx_to_word, word_freqs, word_counts)
dataloader = tud.DataLoader(dataset, batch_size=BATCH_SIZE, shuffle=True, num_workers=4)
定义PyTorch模型
class EmbeddingModel(nn.Module):
def __init__(self, vocab_size, embed_size):
''' 初始化输出和输出embedding
'''
super(EmbeddingModel, self).__init__()
self.vocab_size = vocab_size
self.embed_size = embed_size
initrange = 0.5 / self.embed_size
self.out_embed = nn.Embedding(self.vocab_size, self.embed_size, sparse=False)
self.out_embed.weight.data.uniform_(-initrange, initrange)
self.in_embed = nn.Embedding(self.vocab_size, self.embed_size, sparse=False)
self.in_embed.weight.data.uniform_(-initrange, initrange)
def forward(self, input_labels, pos_labels, neg_labels):
'''
input_labels: 中心词, [batch_size]
pos_labels: 中心词周围 context window 出现过的单词 [batch_size * (window_size * 2)]
neg_labelss: 中心词周围没有出现过的单词,从 negative sampling 得到 [batch_size, (window_size * 2 * K)]
return: loss, [batch_size]
'''
batch_size = input_labels.size(0)
input_embedding = self.in_embed(input_labels) # B * embed_size
pos_embedding = self.out_embed(pos_labels) # B * (2*C) * embed_size
neg_embedding = self.out_embed(neg_labels) # B * (2*C * K) * embed_size
log_pos = torch.bmm(pos_embedding, input_embedding.unsqueeze(2)).squeeze() # B * (2*C)
log_neg = torch.bmm(neg_embedding, -input_embedding.unsqueeze(2)).squeeze() # B * (2*C*K)
log_pos = F.logsigmoid(log_pos).sum(1)
log_neg = F.logsigmoid(log_neg).sum(1) # batch_size
loss = log_pos + log_neg
return -loss
def input_embeddings(self):
return self.in_embed.weight.data.cpu().numpy()
定义一个模型以及把模型移动到GPU
model = EmbeddingModel(VOCAB_SIZE, EMBEDDING_SIZE)
if USE_CUDA:
model = model.cuda()
下面是评估模型的代码,以及训练模型的代码
def evaluate(filename, embedding_weights):
if filename.endswith(".csv"):
data = pd.read_csv(filename, sep=",")
else:
data = pd.read_csv(filename, sep="\t")
human_similarity = []
model_similarity = []
for i in data.iloc[:, 0:2].index:
word1, word2 = data.iloc[i, 0], data.iloc[i, 1]
if word1 not in word_to_idx or word2 not in word_to_idx:
continue
else:
word1_idx, word2_idx = word_to_idx[word1], word_to_idx[word2]
word1_embed, word2_embed = embedding_weights[[word1_idx]], embedding_weights[[word2_idx]]
model_similarity.append(float(sklearn.metrics.pairwise.cosine_similarity(word1_embed, word2_embed)))
human_similarity.append(float(data.iloc[i, 2]))
return scipy.stats.spearmanr(human_similarity, model_similarity)# , model_similarity
def find_nearest(word):
index = word_to_idx[word]
embedding = embedding_weights[index]
cos_dis = np.array([scipy.spatial.distance.cosine(e, embedding) for e in embedding_weights])
return [idx_to_word[i] for i in cos_dis.argsort()[:10]]
训练模型:
模型一般需要训练若干个epoch
每个epoch我们都把所有的数据分成若干个batch
把每个batch的输入和输出都包装成cuda tensor
forward pass,通过输入的句子预测每个单词的下一个单词
用模型的预测和正确的下一个单词计算cross entropy loss
清空模型当前gradient
backward pass
更新模型参数
每隔一定的iteration输出模型在当前iteration的loss,以及在验证数据集上做模型的评估
optimizer = torch.optim.SGD(model.parameters(), lr=LEARNING_RATE)
for e in range(NUM_EPOCHS):
for i, (input_labels, pos_labels, neg_labels) in enumerate(dataloader):
# TODO
input_labels = input_labels.long()
pos_labels = pos_labels.long()
neg_labels = neg_labels.long()
if USE_CUDA:
input_labels = input_labels.cuda()
pos_labels = pos_labels.cuda()
neg_labels = neg_labels.cuda()
optimizer.zero_grad()
loss = model(input_labels, pos_labels, neg_labels).mean()
loss.backward()
optimizer.step()
if i % 100 == 0:
with open(LOG_FILE, "a") as fout:
fout.write("epoch: {}, iter: {}, loss: {}\n".format(e, i, loss.item()))
print("epoch: {}, iter: {}, loss: {}".format(e, i, loss.item()))
if i % 2000 == 0:
embedding_weights = model.input_embeddings()
sim_simlex = evaluate("simlex-999.txt", embedding_weights)
sim_men = evaluate("men.txt", embedding_weights)
sim_353 = evaluate("wordsim353.csv", embedding_weights)
with open(LOG_FILE, "a") as fout:
print("epoch: {}, iteration: {}, simlex-999: {}, men: {}, sim353: {}, nearest to monster: {}\n".format(
e, i, sim_simlex, sim_men, sim_353, find_nearest("monster")))
fout.write("epoch: {}, iteration: {}, simlex-999: {}, men: {}, sim353: {}, nearest to monster: {}\n".format(
e, i, sim_simlex, sim_men, sim_353, find_nearest("monster")))
embedding_weights = model.input_embeddings()
np.save("embedding-{}".format(EMBEDDING_SIZE), embedding_weights)
torch.save(model.state_dict(), "embedding-{}.th".format(EMBEDDING_SIZE))
在 MEN 和 Simplex-999 数据集上做评估
embedding_weights = model.input_embeddings()
print("simlex-999", evaluate("simlex-999.txt", embedding_weights))
print("men", evaluate("men.txt", embedding_weights))
print("wordsim353", evaluate("wordsim353.csv", embedding_weights))
simlex-999 SpearmanrResult(correlation=0.17251697429101504, pvalue=7.863946056740345e-08)
men SpearmanrResult(correlation=0.1778096817088841, pvalue=7.565661657312768e-20)
wordsim353 SpearmanrResult(correlation=0.27153702278146635, pvalue=8.842165885381714e-07)
寻找nearest neighbors
for word in ["good", "fresh", "monster", "green", "like", "america", "chicago", "work", "computer", "language"]:
print(word, find_nearest(word))
good ['good', 'bad', 'perfect', 'hard', 'questions', 'alone', 'money', 'false', 'truth', 'experience']
fresh ['fresh', 'grain', 'waste', 'cooling', 'lighter', 'dense', 'mild', 'sized', 'warm', 'steel']
monster ['monster', 'giant', 'robot', 'hammer', 'clown', 'bull', 'demon', 'triangle', 'storyline', 'slogan']
green ['green', 'blue', 'yellow', 'white', 'cross', 'orange', 'black', 'red', 'mountain', 'gold']
like ['like', 'unlike', 'etc', 'whereas', 'animals', 'soft', 'amongst', 'similarly', 'bear', 'drink']
america ['america', 'africa', 'korea', 'india', 'australia', 'turkey', 'pakistan', 'mexico', 'argentina', 'carolina']
chicago ['chicago', 'boston', 'illinois', 'texas', 'london', 'indiana', 'massachusetts', 'florida', 'berkeley', 'michigan']
work ['work', 'writing', 'job', 'marx', 'solo', 'label', 'recording', 'nietzsche', 'appearance', 'stage']
computer ['computer', 'digital', 'electronic', 'audio', 'video', 'graphics', 'hardware', 'software', 'computers', 'program']
language ['language', 'languages', 'alphabet', 'arabic', 'grammar', 'pronunciation', 'dialect', 'programming', 'chinese', 'spelling']
单词之间的关系
man_idx = word_to_idx["man"]
king_idx = word_to_idx["king"]
woman_idx = word_to_idx["woman"]
embedding = embedding_weights[woman_idx] - embedding_weights[man_idx] + embedding_weights[king_idx]
cos_dis = np.array([scipy.spatial.distance.cosine(e, embedding) for e in embedding_weights])
for i in cos_dis.argsort()[:20]:
print(idx_to_word[i])
king
henry
charles
pope
queen
iii
prince
elizabeth
alexander
constantine
edward
son
iv
louis
emperor
mary
james
joseph
frederick
francis

魔乐社区(Modelers.cn) 是一个中立、公益的人工智能社区,提供人工智能工具、模型、数据的托管、展示与应用协同服务,为人工智能开发及爱好者搭建开放的学习交流平台。社区通过理事会方式运作,由全产业链共同建设、共同运营、共同享有,推动国产AI生态繁荣发展。
更多推荐
所有评论(0)