吴恩达机器学习作业(四)——BP神经网络--Python实现
BP神经网络,即使用反向传播算法(BackPropagation algorithm)的神经网络该模型输入层有(100+1)中间层(25+1)输出层(10)以下为python语言实现的反向传播算法import numpy as npfrom scipy.io import loadmatfrom scipy.optimize import minimizefrom sklearn.preproce
·
BP神经网络,即使用反向传播算法(BackPropagation algorithm)的神经网络
参考
以下为python语言实现的反向传播算法
import numpy as np
from scipy.io import loadmat
from scipy.optimize import minimize
from sklearn.preprocessing import OneHotEncoder
import scipy.io as scio
def load_data(path, transpose=True):
data = loadmat(path)
y = data.get('y') # (5000,1)
X = data.get('X') # (5000,400)
if transpose:
# for this dataset, you need a transpose to get the orientation right
X = np.array([im.reshape((20, 20)).T for im in X])
# and I flat the image again to preserve the vector presentation
X = np.array([im.reshape(400) for im in X])
return X, y
def sigmoid_gradient(z):
return np.multiply(sigmoid(z), (1 - sigmoid(z)))
def sigmoid(z): # sigmoid的导函数
return 1 / (1 + np.exp(-z))
def forward_propagate(X, theta1, theta2):
m = X.shape[0] # m = 5000
a1 = np.insert(X, 0, values=np.ones(m), axis=1) # input layer
z2 = a1 * theta1.T
a2 = np.insert(sigmoid(z2), 0, values=np.ones(m), axis=1) # hidden layer
z3 = a2 * theta2.T
h = sigmoid(z3) # h.shape(5000,10)
return a1, z2, a2, z3, h
def cost(params, input_size, hidden_size, num_labels, X, y, learning_rate):
m = X.shape[0] # 5000,input_size = 400+1; hidden_size = 25+1
X = np.mat(X)
y = np.mat(y)
# reshape the parameter array into parameter matrices for each layer
theta1 = np.mat(np.reshape(params[:hidden_size * (input_size + 1)], (hidden_size, (input_size + 1))))
# params未指定起始位置,默认从零开始,其中params为theta一共的个数,[:25*(400+1)]reshape为(25,400+1)的矩阵格式
theta2 = np.mat(np.reshape(params[hidden_size * (input_size + 1):], (num_labels, (hidden_size + 1))))
# params中剩下的为theta2中的值
# run the feed-forward pass
a1, z2, a2, z3, h = forward_propagate(X, theta1, theta2)
# compute the cost
J = 0
for i in range(m): # m = 5000,multiply为点乘
first_term = np.multiply(-y[i, :], np.log(h[i, :])) # h.shape 为 5000,10
second_term = np.multiply((1 - y[i, :]), np.log(1 - h[i, :]))
J += np.sum(first_term - second_term)
J = J / m
# add the cost regularization term
J += (float(learning_rate) / (2 * m)) * (np.sum(np.power(theta1[:, 1:], 2)) + np.sum(np.power(theta2[:, 1:], 2)))
return J
def backprop(params, input_size, hidden_size, num_labels, X, y, learning_rate):
m = X.shape[0]
X = np.mat(X)
y = np.mat(y)
# reshape the parameter array into parameter matrices for each layer
theta1 = np.mat(np.reshape(params[:hidden_size * (input_size + 1)], (hidden_size, (input_size + 1))))
theta2 = np.mat(np.reshape(params[hidden_size * (input_size + 1):], (num_labels, (hidden_size + 1))))
# run the feed-forward pass
a1, z2, a2, z3, h = forward_propagate(X, theta1, theta2)
# initializations
J = 0
delta1 = np.zeros(theta1.shape) # (25, 401)
delta2 = np.zeros(theta2.shape) # (10, 26)
# compute the cost
for i in range(m):
first_term = np.multiply(-y[i, :], np.log(h[i, :]))
second_term = np.multiply((1 - y[i, :]), np.log(1 - h[i, :]))
J += np.sum(first_term - second_term)
J = J / m
# add the cost regularization term
J += (float(learning_rate) / (2 * m)) * (np.sum(np.power(theta1[:, 1:], 2)) + np.sum(np.power(theta2[:, 1:], 2)))
# perform backpropagation
for t in range(m):
a1t = a1[t, :] # (1, 401)
z2t = z2[t, :] # (1, 25)
a2t = a2[t, :] # (1, 26)
ht = h[t, :] # (1, 10)
yt = y[t, :] # (1, 10)
d3t = ht - yt # (1, 10)
# 详见吴恩达机器学习笔记P135页,反向传播算法的过程
z2t = np.insert(z2t, 0, values=np.ones(1)) # (1, 26)
d2t = np.multiply((theta2.T * d3t.T).T, sigmoid_gradient(z2t)) # (1, 26)
delta1 = delta1 + (d2t[:, 1:]).T * a1t
delta2 = delta2 + d3t.T * a2t
delta1 = delta1 / m # 计算0时
delta2 = delta2 / m
# add the gradient regularization term
delta1[:, 1:] = delta1[:, 1:] + (theta1[:, 1:] * learning_rate) / m # 计算非零时
delta2[:, 1:] = delta2[:, 1:] + (theta2[:, 1:] * learning_rate) / m
# unravel the gradient matrices into a single array
grad = np.concatenate((np.ravel(delta1), np.ravel(delta2)))
# axis=0 按照行拼接。默认为axis=0
# axis=1 按照列拼接
return J, grad
X, y = load_data('ex4data1.mat')
encoder = OneHotEncoder(sparse=False)
y_onehot = encoder.fit_transform(y)
input_size = 400
hidden_size = 25
num_labels = 10
learning_rate = 1
# 随机初始化完整网络参数大小的参数数组
params = (np.random.random(size=hidden_size * (input_size + 1) + num_labels * (hidden_size + 1)) - 0.5) * 0.25
# np.random.random(n)产生n个0--1之间的随机数,上式中产生的随机数为-0.5到0.5再*0.25
# 一共产生了,25*(400+1)+10*(25+1)个(theta的总个数)
theta1 = np.mat(np.reshape(params[:hidden_size * (input_size + 1)], (hidden_size, (input_size + 1))))
theta2 = np.mat(np.reshape(params[hidden_size * (input_size + 1):], (num_labels, (hidden_size + 1))))
fmin = minimize(fun=backprop, x0=params, args=(input_size, hidden_size, num_labels, X, y_onehot, learning_rate),
method='TNC', jac=True, options={'maxiter': 250})
X = np.mat(X)
theta1 = np.mat(np.reshape(fmin.x[:hidden_size * (input_size + 1)], (hidden_size, (input_size + 1))))
theta2 = np.mat(np.reshape(fmin.x[hidden_size * (input_size + 1):], (num_labels, (hidden_size + 1))))
a1, z2, a2, z3, h = forward_propagate(X, theta1, theta2)
y_pred = np.array(np.argmax(h, axis=1) + 1)
correct = [1 if a == b else 0 for (a, b) in zip(y_pred, y)]
accuracy = (sum(map(int, correct)) / float(len(correct)))
print('accuracy = {0}%'.format(accuracy * 100))
scio.savemat('theta1.mat', {'theta1': theta1})
scio.savemat('theta2.mat', {'theta2': theta2})
print('保存成功')
最后三行代码我们将训练好的参数保存为mat文件,方便测试使用。使用该算法时,准确率达到了99%多一点,但毕竟训练和测试用的同一数据集该准确率肯定是偏高的,比上一个练习中回归模型的准确率好很多。依然秉承着严谨的态度,对训练好的模型进性测试。微软雅黑对了7个,手写对了4个。果然还是不太聪明的样子。
图片保存在名为img的文件下
import numpy as np
from scipy.io import loadmat
from PIL import Image
def sigmoid(z):
return 1 / (1 + np.exp(-z))
def forward_propagate(X, theta1, theta2):
m = X.shape[0] # m = 5000
a1 = np.insert(X, 0, values=np.ones(m), axis=1) # input layer
z2 = a1 * theta1.T
a2 = np.insert(sigmoid(z2), 0, values=np.ones(m), axis=1) # hidden layer
z3 = a2 * theta2.T
h = sigmoid(z3) # h.shape(5000,10)
return a1, z2, a2, z3, h
for i in range(10):
filename = 'image/'+str(i)+'_.png'
im = 255 - np.array(Image.open(filename).convert('L')) # 为灰度图像,每个像素用8个bit表示,0表示黑,255表示白,
im = im.ravel()
im = im.astype(float) / 255.0
theta1 = loadmat('theta1.mat')
theta1 = theta1['theta1']
theta2 = loadmat('theta2.mat')
theta2 = theta2['theta2']
im = np.mat(im)
im2 = np.insert(im, 0, values=np.ones(1), axis=1)
a1, z2, a2, z3, h = forward_propagate(im, theta1, theta2)
answer = np.argmax(h) + 1
if answer == 10:
answer = 0
print(" i think this should be " + str(answer))
上次模型中训练用的数据是直接用的,这次将所有数据转化为正面图像后再进性的训练。所以第二个测试代码中并未镜像处理。仅灰度变化就可。
模型直观图:
该模型输入层有(100+1)
中间层(25+1)
输出层(10)
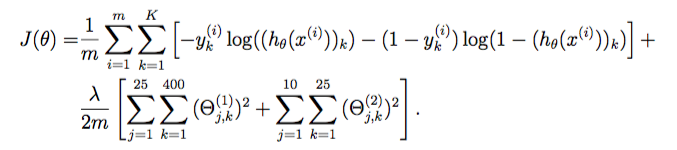
损失函数(正则化):

魔乐社区(Modelers.cn) 是一个中立、公益的人工智能社区,提供人工智能工具、模型、数据的托管、展示与应用协同服务,为人工智能开发及爱好者搭建开放的学习交流平台。社区通过理事会方式运作,由全产业链共同建设、共同运营、共同享有,推动国产AI生态繁荣发展。
更多推荐
所有评论(0)