强化学习 model free 蒙特卡洛增量 与 TD(0)
时序差分(TD)学习结合了蒙特卡洛方法和动态规划的方式:对于蒙特卡洛方法,其迭代的方式是用episode中所有的样本结果作为更新的目标,如下所示,Gt代表的是时刻t真实的回报,他是有所有根据样本得到。对于时序差分TD(0)则是用了其下一步状态的回报值作为 bootstrap 代替原样本的结果:所以对于蒙特卡洛方式,TD(0)只是改变了一个地方,即用 下一状态得到的真实值 + 下一状态的估计值 v(
·
时序差分(TD)学习结合了蒙特卡洛方法和动态规划的方式:
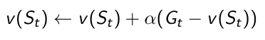
对于蒙特卡洛方法,其迭代的方式是用episode中所有的样本结果作为更新的目标,如下所示,Gt代表的是时刻t真实的回报,他是有所有根据样本得到。
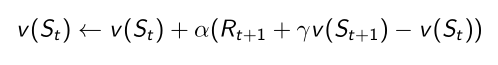
对于时序差分TD(0)则是用了其下一步状态的回报值作为 bootstrap 代替原样本的结果:
所以对于蒙特卡洛方式,TD(0)只是改变了一个地方,即用 下一状态得到的真实值 + 下一状态的估计值 v(s+1)乘上一个折扣因子 gamma 代表全样本的sample 结果。
这样的好处是,只需要通过该状态下的下一状态就能更新价值函数,而不用像蒙特卡洛一样在全部episode结束后才能更新值。
就像上面一张图一样,完全的树是DP算法的复杂度,蒙特卡洛是下面这颗树,上面这颗树是TD(0)算法的复杂度。
MC 与 TD0 对比:
魔乐社区(Modelers.cn) 是一个中立、公益的人工智能社区,提供人工智能工具、模型、数据的托管、展示与应用协同服务,为人工智能开发及爱好者搭建开放的学习交流平台。社区通过理事会方式运作,由全产业链共同建设、共同运营、共同享有,推动国产AI生态繁荣发展。
更多推荐







所有评论(0)