matlab实现回归分析
matlab实现回归分析
·
一、实验目的
回归分析是一种寻求多个变量之间关系的方法。通过实验要求掌握回归基本原理和处理办法。
二、实验原理
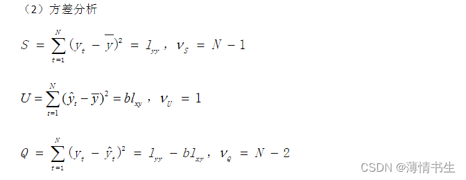
(3)F检验
三、实验内容
用x光机检查镁合金铸件内部缺陷时,为了获得最佳的灵敏度,透视电压y应随透视件的厚度x而改变,经实验获得下表所示一组数据,假设透视件的厚度x无误差,试求透视电压y随厚度x变化的经验公式。
四、实验总结
1、实验程序
clc
close all
clear
x = [12 13 14 15 16 18 20 22 24 26];
y = [52 55 58 61 65 70 75 80 85 91];
N = 10;
xy = 0;
for i=1:1:N
xy = xy+x(i)*y(i);
end
b = (N*xy - sum(x)*sum(y))/(N*sum(x.^2)-sum(x)^2);
b0 = (sum(x.^2)*sum(y)-sum(x)*xy)/(N*sum(x.^2)-sum(x).^2);
ave_x = 1/N*sum(x);
ave_y = 1/N*sum(y);
lxx = sum((x-ave_x).^2);
lxy = sum((x-ave_x).*(y-ave_y));
lyy = sum((y-ave_y).^2);
%方差分析
S = lyy;
U = b*lxy;
Q = lyy - b*lxy;
%F检验
F = U/(Q/(N-2));
%绘制散点图
x1 = 10:1:30;
y1 = b0 + b*x1;
figure
plot(x,y,'ro');
hold on
plot(x1,y1,'k');
title(['y=',num2str(b0),'+','x*',num2str(b)]);
2、给出运行结果,画出散点图和回归曲线

魔乐社区(Modelers.cn) 是一个中立、公益的人工智能社区,提供人工智能工具、模型、数据的托管、展示与应用协同服务,为人工智能开发及爱好者搭建开放的学习交流平台。社区通过理事会方式运作,由全产业链共同建设、共同运营、共同享有,推动国产AI生态繁荣发展。
更多推荐
所有评论(0)