【异常检测】DAGMM:结合深度自编码器器和GMM的端到端无监督网络(二):代码实战(PyTorch)...
作者| 贝壳er研究| 数据挖掘与异常检测出品 | AI蜗牛车“代码部分基于PyTorch1.6.0,使用网络入侵异常检测数据集KDDCUP99来训练和评测,完整代码见:GitHub ...
作者 | 贝壳er
研究 | 数据挖掘与异常检测
出品 | AI蜗牛车
“代码部分基于PyTorch1.6.0,使用网络入侵异常检测数据集KDDCUP99来训练和评测,完整代码见:GitHub : https://github.com/lixiangwang/DAGMM-pytorch
”
1.网络部分:
网络部分的实现较为简单,基本上就是DAE结构接一个全连接结构,最后输出一个softmax Tensor。要注意好Compression network和Estimation network的输入输出的Tensor shape:
class DAGMM(nn.Module):
def __init__(self, hyp):
super(DAGMM, self).__init__()
layers = []
layers += [nn.Linear(hyp['input_dim'],hyp['hidden1_dim'])]
layers += [nn.Tanh()]
layers += [nn.Linear(hyp['hidden1_dim'],hyp['hidden2_dim'])]
layers += [nn.Tanh()]
layers += [nn.Linear(hyp['hidden2_dim'],hyp['hidden3_dim'])]
layers += [nn.Tanh()]
layers += [nn.Linear(hyp['hidden3_dim'],hyp['zc_dim'])]
self.encoder = nn.Sequential(*layers)
layers = []
layers += [nn.Linear(hyp['zc_dim'],hyp['hidden3_dim'])]
layers += [nn.Tanh()]
layers += [nn.Linear(hyp['hidden3_dim'],hyp['hidden2_dim'])]
layers += [nn.Tanh()]
layers += [nn.Linear(hyp['hidden2_dim'],hyp['hidden1_dim'])]
layers += [nn.Tanh()]
layers += [nn.Linear(hyp['hidden1_dim'],hyp['input_dim'])]
self.decoder = nn.Sequential(*layers)
layers = []
layers += [nn.Linear(hyp['zc_dim']+2,hyp['hidden3_dim'])]
layers += [nn.Tanh()]
layers += [nn.Dropout(p=hyp['dropout'])]
layers += [nn.Linear(hyp['hidden3_dim'],hyp['n_gmm'])]
layers += [nn.Softmax(dim=1)]
self.estimation = nn.Sequential(*layers)
def forward(self, x):
enc = self.encoder(x)
dec = self.decoder(enc)
rec_cosine = F.cosine_similarity(x, dec, dim=1)
rec_euclidean = F.pairwise_distance(x, dec,p=2)
z = torch.cat([enc, rec_euclidean.unsqueeze(-1), rec_cosine.unsqueeze(-1)], dim=1)
gamma = self.estimation(z)
return enc,dec,z,gamma
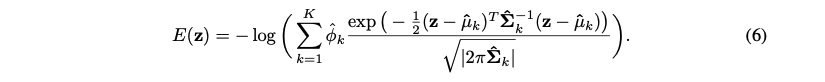
2.GMM参数计算:

网络输出GMM中的component的概率分布,用于GMM均值,协方差等参数的计算,参照论文中的公式(5)。代码中这部分包括后面计算似然函数的部分涉及到大量数学计算,我自己实验是在CPU上计算效率比GPU高,所以在完整代码的训练部分将网络参数从GPU搬回到CPU。
def get_gmm_param(gamma, z):
N = gamma.shape[0]
ceta = torch.sum(gamma, dim=0) / N #shape: [n_gmm]
mean = torch.sum(gamma.unsqueeze(-1) * z.unsqueeze(1), dim=0)
mean = mean / torch.sum(gamma, dim=0).unsqueeze(-1) #shape: [n_gmm, z_dim]
z_mean = (z.unsqueeze(1)- mean.unsqueeze(0))
z_mean_mm = z_mean.unsqueeze(-1) * z_mean.unsqueeze(-2)
cov = torch.sum(gamma.unsqueeze(-1).unsqueeze(-1) * z_mean_mm, dim = 0) / torch.sum(gamma, dim=0).unsqueeze(-1).unsqueeze(-1) #shape: [n_gmm,z_dim,z_dim]
return ceta, mean, cov
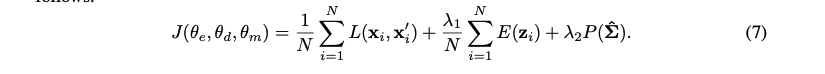
3.似然函数和总体损失的计算:
在获得GMM参数后,可由论文中的公式(6)写出似然函数。损失函数参照公式(7),注意有三项,分别是网络输出的重构误差,似然函数损失以及用来防止矩阵计算不可逆的项。
def reconstruct_error(x, x_hat): #重构误差
e = torch.tensor(0.0)
for i in range(x.shape[0]):
e += torch.dist(x[i], x_hat[i])
return e / x.shape[0]
def sample_energy(ceta, mean, cov, zi,n_gmm,bs):
e = torch.tensor(0.0)
cov_eps = torch.eye(mean.shape[1]) * (1e-12)
# cov_eps = cov_eps.to(device)
for k in range(n_gmm):
miu_k = mean[k].unsqueeze(1)
d_k = zi - miu_k
inv_cov = torch.inverse(cov[k] + cov_eps)
e_k = torch.exp(-0.5 * torch.chain_matmul(torch.t(d_k), inv_cov, d_k))
e_k = e_k / torch.sqrt(torch.abs(torch.det(2 * math.pi * cov[k])))
e_k = e_k * ceta[k]
e += e_k.squeeze()
return -torch.log(e)
def loss_func(x, dec, gamma, z):
bs,n_gmm = gamma.shape[0],gamma.shape[1]
#1 计算重构误差
recon_error = reconstruct_error(x, dec)
#2 获得GMM参数
ceta, mean, cov = get_gmm_param(gamma, z)
# ceta = ceta.to(device)
# mean = mean.to(device)
# cov = cov.to(device)
#3 似然函数损失项
e = torch.tensor(0.0)
for i in range(z.shape[0]):
zi = z[i].unsqueeze(1)
ei = sample_energy(ceta, mean, cov, zi,n_gmm,bs)
e += ei
p = torch.tensor(0.0)
for k in range(n_gmm):
cov_k = cov[k]
p_k = torch.sum(1 / torch.diagonal(cov_k, 0))
p += p_k
loss = recon_error + (0.1 / z.shape[0]) * e + 0.005 * p
return loss, recon_error, e/z.shape[0], p
4.KDDCUP99数据集预处理和划分:
下载链接(外网不好下载,我上传至CSDN资源中免费下载) 该数据集是从一个模拟的美国空军局域网上采集来的 9 个星期的网络连接数据, 分成具有标识的训练数据和未加标识的测试数据。测试数据和训练数据有着不同的概率分布, 测试数据包含了一些未出现在训练数据中的攻击类型, 这使得入侵检测更具有现实性。该数据集的特征描述和分析可以参考这个链接:KDDCUP99 网络入侵数据集描述
数据集中normal标识占总体的20%,所以将有normal标示的视为异常样本,对字符型离散特征做one-hot编码,对连续数值特征做归一化处理,如下:
import numpy as np
import pandas as pd
import os
data = pd.read_csv(os.path.join(data_dir,"kddcup.data_10_percent"), header=None,names=['duration', 'protocol_type', 'service', 'flag', 'src_bytes', 'dst_bytes', 'land', 'wrong_fragment', 'urgent', 'hot', 'num_failed_logins', 'logged_in', 'num_compromised', 'root_shell', 'su_attempted', 'num_root', 'num_file_creations', 'num_shells', 'num_access_files', 'num_outbound_cmds', 'is_host_login', 'is_guest_login', 'count', 'srv_count', 'serror_rate', 'srv_serror_rate', 'rerror_rate', 'srv_rerror_rate', 'same_srv_rate', 'diff_srv_rate', 'srv_diff_host_rate', 'dst_host_count', 'dst_host_srv_count', 'dst_host_same_srv_rate', 'dst_host_diff_srv_rate', 'dst_host_same_src_port_rate', 'dst_host_srv_diff_host_rate', 'dst_host_serror_rate', 'dst_host_srv_serror_rate', 'dst_host_rerror_rate', 'dst_host_srv_rerror_rate', 'type'])
data.loc[data["type"] != "normal.", 'type'] = 0 #1是异常
data.loc[data["type"] == "normal.", 'type'] = 1
one_hot_protocol = pd.get_dummies(data["protocol_type"])
one_hot_service = pd.get_dummies(data["service"])
one_hot_flag = pd.get_dummies(data["flag"])
data = data.drop("protocol_type",axis=1)
data = data.drop("service",axis=1)
data = data.drop("flag",axis=1)
data = pd.concat([one_hot_protocol, one_hot_service,one_hot_flag, data],axis=1)
cols_to_norm = ["duration", "src_bytes", "dst_bytes", "wrong_fragment", "urgent",
"hot", "num_failed_logins", "num_compromised", "num_root",
"num_file_creations", "num_shells", "num_access_files", "count", "srv_count",
"serror_rate", "srv_serror_rate", "rerror_rate", "srv_rerror_rate", "same_srv_rate",
"diff_srv_rate", "srv_diff_host_rate", "dst_host_count", "dst_host_srv_count", "dst_host_same_srv_rate",
"dst_host_diff_srv_rate", "dst_host_same_src_port_rate", "dst_host_srv_diff_host_rate",
"dst_host_serror_rate", "dst_host_srv_serror_rate", "dst_host_rerror_rate", "dst_host_srv_rerror_rate" ]
# data.loc[:, cols_to_norm] = (data[cols_to_norm] - data[cols_to_norm].mean()) / data[cols_to_norm].std()
min_cols = data.loc[data["type"]==0 , cols_to_norm].min()
max_cols = data.loc[data["type"]==0 , cols_to_norm].max()
data.loc[:, cols_to_norm] = (data[cols_to_norm] - min_cols) / (max_cols - min_cols)
np.savez_compressed("kdd_cup",kdd=np.array(data)) #保存
proportions = data["type"].value_counts()
print(proportions)
print("Anomaly Percentage",proportions[1] / proportions.sum())
采取的数据划分策略是从分离的正常样本和异常样本中,各抽取百分之80%,shuffle后作为训练集,剩下的作为测试集,在测试的时候,先根据训练集数据中的似然函数值E(z)从小到排序,截取百分之八十分位的值(该数据集中正常样本:异常样本 = 4:1)作为异常预测的阈值。
class kddcup99_Dataset(Dataset):
def __init__(self, data_dir = None, mode='train',ratio = 0.8):
self.mode = mode
data = np.load(data_dir,allow_pickle=True)['kdd']
data = np.float32(data)
data = torch.from_numpy(data)
normal_data = data[data[:, -1] == 0]
abnormal_data = data[data[:, -1] == 1]
train_normal_mark = int(normal_data.shape[0] * ratio)
train_abnormal_mark = int(abnormal_data.shape[0] * ratio)
train_normal_data = normal_data[:train_normal_mark, :]
train_abnormal_data = abnormal_data[:train_abnormal_mark, :]
self.train_data = np.concatenate((train_normal_data, train_abnormal_data), axis=0)
np.random.shuffle(self.train_data)
test_normal_data = normal_data[train_normal_mark:, :]
test_abnormal_data = abnormal_data[train_abnormal_mark:, :]
self.test_data = np.concatenate((test_normal_data, test_abnormal_data), axis=0)
np.random.shuffle(self.test_data)
def __len__(self):
if self.mode == 'train':
return self.train_data.shape[0]
else:
return self.test_data.shape[0]
def __getitem__(self, index):
if self.mode == 'train':
return self.train_data[index,:-1], self.train_data[index,-1]
else:
return self.test_data[index,:-1], self.test_data[index,-1]
def get_loader(hyp, mode = 'train'):
"""Build and return data loader."""
dataset = kddcup99_Dataset(hyp['data_dir'], mode, hyp['ratio'])
shuffle = True if mode == 'train' else False
data_loader = DataLoader(dataset=dataset,
batch_size=hyp['batch_size'],
shuffle=shuffle)
return data_loader,len(dataset)
5.完整代码
GitHub: https://github.com/lixiangwang/DAGMM-pytorch
更多精彩内容(请点击图片进行阅读)
公众号:AI蜗牛车
保持谦逊、保持自律、保持进步
个人微信
备注:昵称+学校/公司+方向
如果没有备注不拉群!
拉你进AI蜗牛车交流群

魔乐社区(Modelers.cn) 是一个中立、公益的人工智能社区,提供人工智能工具、模型、数据的托管、展示与应用协同服务,为人工智能开发及爱好者搭建开放的学习交流平台。社区通过理事会方式运作,由全产业链共同建设、共同运营、共同享有,推动国产AI生态繁荣发展。
更多推荐
所有评论(0)