Python——基于最小二乘法和最大似然法的回归分析方程中系数的估计
Python——基于最小二乘法和最大似然法的回归分析方程中系数的估计
·
一、引言
一元线性回归:涉及的变量只有一个
多元线性回归:涉及的变量两个或两个以上
预测结果与真实值是有一定的误差(如图):
本文以y=-2x+8的数据进行拟合为例,给出了利用最小二乘法来估计回归系数的方法及python实现。
二、公式推导
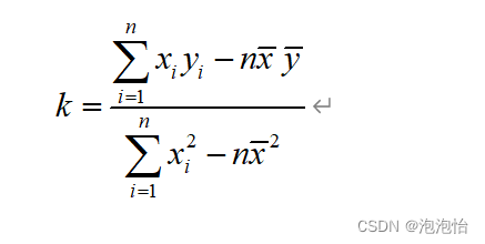
1.最小二乘法:
假设已知一系列的散点(xi,yi)
我们将(xi,yi)代入 y =kx+b 得
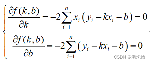
构造最小二乘函数:
对k和b分别求偏导数得:
上述方程组两端同时除以n得:
将其代入即可得到系数b。
三、python程序
1.根据散点图判读曲线变化趋势
import numpy as np
import matplotlib.pyplot as plt
%matplotlib inline
trainX=np.arange(25)
trainY=2*trainX+8+np.random.randn(25)
plt.scatter(trainX, trainY,color='red',marker='+')
结果如图所示:
2.回归系数计算如下:
n=25
xu=np.sum(trainX)/n
yu=np.sum(trainY)/n
k1 = sum( trainX * trainY ) - n * xu * yu;
k2 = sum( trainX * trainX ) - n * xu * xu;
k = k1 / k2;
b = yu - k * xu;
结果如下:k=2.0174825107892924, b=7.508028732222016
3.完整代码如下
import numpy as np
import matplotlib.pyplot as plt
%matplotlib inline
trainX=np.arange(25)
trainY=2*trainX+8+np.random.randn(25)
plt.scatter(trainX, trainY,color='red',marker='+')
n=25
xu=np.sum(trainX)/n
yu=np.sum(trainY)/n
k1 = sum( trainX * trainY ) - n * xu * yu;
k2 = sum( trainX * trainX ) - n * xu * xu;
k = k1 / k2;
b = yu - k * xu;
Y1=k*trainX+b
fig,ax = plt.subplots()
ax.scatter(trainX, trainY,color='red',marker='+')
ax.plot(trainX, Y1,color='blue')
结果如图:
注意:附加最大似然估计的推导:

魔乐社区(Modelers.cn) 是一个中立、公益的人工智能社区,提供人工智能工具、模型、数据的托管、展示与应用协同服务,为人工智能开发及爱好者搭建开放的学习交流平台。社区通过理事会方式运作,由全产业链共同建设、共同运营、共同享有,推动国产AI生态繁荣发展。
更多推荐
所有评论(0)