matlab中心卡方与非中心卡方统计函数使用
卡方分布分为中心卡方和非中心卡方。中心卡方分布中心卡方分布的随机变量由若干独立同分布的零均值高斯变量的平方和(也就是σ^2)得出。设有n个独立同分布的零均值高斯随机数xi~N(0,σ*σ),i=1,2,…,n,则随机数服从自由度n的中心卡方分布。自由度为n的中心卡方分布随机变量Y的期望和方差分别为matlab对应函数matlab给出了n个服从N(0,1)的正态分布自由度为n的中心卡方分布的计算函数
卡方分布分为中心卡方和非中心卡方。
中心卡方分布
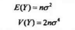
中心卡方分布的随机变量由若干独立同分布的零均值高斯变量的平方和(也就是σ^2)得出。设有n个独立同分布的零均值高斯随机数xi~N(0,σ*σ),i=1,2,…,n,则随机数
服从自由度n的中心卡方分布。自由度为n的中心卡方分布随机变量Y的期望和方差分别为
matlab对应函数
matlab给出了n个服从N(0,1)的正态分布自由度为n的中心卡方分布的计算函数:
- 卡方分布的分布函数:
chi2cdf
- 分布函数的反函数
chi2inv
- 概率密度函数
chi2pdf
- 随机数发生函数
chi2rnd
- 期望及方差计算函数
chi2stat
例子:实验10个样本能否认为其期望值μ0=1600,其方差σ0^2=14400(取显著性水平α=0.02)?
数据:
1490 1440 1680 1610 1500 1750 1550 1420 1800 1580
>> x=[1490 1440 1680 1610 1500 1750 1550 1420 1800 1580];
>> m0=1600;
>> n=length(x);
>> xbar = mean(x);
>> s = std(x,1);
>> a1 = 0.02
a1 =
0.0200
>> % 期望的假设检验
>> t1 = tinv(1-a1/2,n-1) % 自由度n-1的t分布a1/2分位点
t1 =
2.8214 % 故均值统计量接受区间
>> t = (xbar-m0)./(s./sqrt(n-1))
t =
-0.4427 %计算统计量t是否在接受区间
>> h_mean = (t>abs(t))
h_mean =
0 % 接受假设
>> % 方差的假设检验
>> sig2 = 14400;
>> ch_2= chi2inv(1-a1/2,n-1)
ch_2 =
21.6660
>> ch_1= chi2inv(a1/2,n-1)
ch_1 =
2.0879 % 故方差统计量在接受区间为(2.0879,21.6660)
>> ch=n*s^2/(sig2)
ch =
10.3306 % 计算统计量是否落入接受区间
>> h_var = (ch<ch_1)|(ch>ch_2)
h_var =
0 % 接受假设
>>
非中心卡方分布
非中心卡方分布的随机变量由若干独立同方差的均值不全为0的高斯变量的平方和得出.设有n个独立的高斯随机数xi~N(mi,σ^2),i=1,2,…n,其均值为mi,方差均为σ*σ,则其服从自由度为n的非中心卡方分布。
并设s * s
自由度为n的非中心卡方分布的随机变量Y的期望和方差分别为
matlab对应的函数
- 非中心卡方分布的分布函数:
ncx2cdf
- 非中心卡方分布函数的反函数
ncx2inv
- 非中心卡方分布概率密度函数
ncx2pdf
- 非中心卡方分布随机数发生函数
ncx2rnd
- 非中心卡方分布期望及方差计算函数
ncx2stat
例子:绘出x∈[0,10]服从的N(4,2)非中心卡方分布
>> clear
>> x=(0:0.1:10)';
>> p1=ncx2pdf(x,4,2);
>> plot(x,p1,'-')
>>
关于matlab的更多统计工具箱使用,可以参考此博文
matlab常见概率分布的命令函数(含例子运用)

魔乐社区(Modelers.cn) 是一个中立、公益的人工智能社区,提供人工智能工具、模型、数据的托管、展示与应用协同服务,为人工智能开发及爱好者搭建开放的学习交流平台。社区通过理事会方式运作,由全产业链共同建设、共同运营、共同享有,推动国产AI生态繁荣发展。
更多推荐
所有评论(0)