神经网络与深度学习(五)前馈神经网络(3)鸢尾花分类
前馈神经网络 鸢尾花分类
目录:
深入研究鸢尾花数据集
画出数据集中150个数据的前两个特征的散点分布图:
import numpy as np
import matplotlib.pyplot as plt
import matplotlib as mp
from sklearn.datasets import load_iris
#在图中显示中文
mp.rcParams['font.sans-serif'] = [u'SimHei']
mp.rcParams['axes.unicode_minus'] = False
iris = load_iris()
##取150个样本,取前两列特征,花萼长度和宽度
x=iris.data[0:150,1:3] #能看特征数据的具体信息
y=iris.target[0:150] #能看每行数据的标签的值
##分别取前两类样本,0和1
samples_0 = x[y==0, :]#把y=0,即Iris-setosa的样本取出来
samples_1 = x[y==1, :]#把y=1,即Iris-versicolo的样本取出来
samples_2 = x[y==2, :]#把y=2,即Iris-virginica的样本取出来
#散点图可视化
plt.scatter(samples_0[:,0],samples_0[:,1],marker='o',color='r')
plt.scatter(samples_1[:,0],samples_1[:,1],marker='x',color='b')
plt.scatter(samples_2[:,0],samples_2[:,1],marker='*',color='y')
plt.legend(['iris versicolor','iris setosa','iris vlrglnica'])
plt.xlabel('花萼宽度', fontsize=14)
plt.ylabel('花瓣长度',fontsize=14)
plt.show()
运行结果:
4.5实践:基于前馈神经网络完成鸢尾花分类
继续使用第三章中的鸢尾花分类任务,将Softmax分类器替换为前馈神经网络。
- 损失函数:交叉熵损失;
- 优化器:随机梯度下降法;
- 评价指标:准确率。
4.5.1 小批量梯度下降法
【批量梯度下降法】 在梯度下降法中,目标函数是整个训练集上的风险函数,这种方式称为 批量梯度下降法 (Batch Gradient Descent,BGD)。 批量梯度下降法在每次迭代时需要计算每个样本上损失函数的梯度并求和。当训练集中的样本数量N很大时,空间复杂度比较高,每次迭代的计算开销也很大。
【小批量梯度下降法】 为了减少每次迭代的计算复杂度,我们可以在每次迭代时只采集一小部分样本,计算在这组样本上损失函数的梯度并更新参数,这种优化方式称为 小批量梯度下降法 (Mini-Batch Gradient Descent,Mini-Batch GD)。
补充一下:
在机器学习中,对于很多监督学习模型,需要对原始的模型构建损失函数,接下来便是通过优化算法对损失函数进行优化,以便找到最优的参数。
梯度下降法作为机器学习中较常使用的优化算法,在其求解过程中,只需要求解损失函数的一阶导数,计算的代价比较小。
基本思想可以理解为:我们从山上的某一点出发,找一个最抖的坡走一步(也就是找梯度方向),到达一个点之后,再找最陡的坡,再走一步,直到不断的走,走到最低点(最小花费函数收敛点)
梯度下降法有三种不同的形式:批量梯度下降(Batch Gradient Descent)、随机梯度下降(Stochastic Gradient Descent)以及小批量梯度下降(Mini-Batch Gradient Descent)。其中小批量梯度下降法也常用在深度学习中进行模型的训练。
其他:
- 随机梯度下降:批量梯度下降法是最原始的形式,它是指在每一次迭代时使用所有样本来进行梯度的更新。
优点:
(1)一次迭代是对所有样本进行计算,此时利用矩阵进行操作,实现了并行。
(2)由全数据集确定的方向能够更好地代表样本总体,从而更准确地朝向极值所在的方向。当目标函数为凸函数时,BGD一定能够得到全局最优。
缺点:
当样本数目 m 很大时,每迭代一步都需要对所有样本计算,训练过程会很慢。- 随机梯度下降: 随机梯度下降法不同于批量梯度下降,随机梯度下降是每次迭代使用一个样本来对参数进行更新。使得训练速度加快。
优点:
(1)由于不是在全部训练数据上的损失函数,而是在每轮迭代中,随机优化某一条训练数据上的损失函数,这样每一轮参数的更新速度大大加快。
缺点:
(1)准确度下降。由于即使在目标函数为强凸函数的情况下,SGD仍旧无法做到线性收敛。
(2)可能会收敛到局部最优,由于单个样本并不能代表全体样本的趋势。
(3)不易于并行实现。- 小批量梯度下降,是对批量梯度下降以及随机梯度下降的一个折中办法。其思想是:每次迭代 使用 batch_size 个样本来对参数进行更新。
优点:
(1)通过矩阵运算,每次在一个batch上优化神经网络参数并不会比单个数据慢太多。
(2)每次使用一个batch可以大大减小收敛所需要的迭代次数,同时可以使收敛到的结果更加接近梯度下降的效果。(比如上例中的30W,设置batch_size=100时,需要迭代3000次,远小于SGD的30W次)
(3)可实现并行化。
缺点:
(1)batch_size的不当选择可能会带来一些问题。
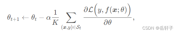
小批量梯度下降法:第 t t t次迭代时,随机选取一个包含 K K K个样本的子集 B t \mathcal{B}_t Bt,计算这个子集上每个样本损失函数的梯度并进行平均,然后再进行参数更新。
其中 K K K为批量大小(Batch Size)。 K K K通常不会设置很大,一般在 1 ∼ 100 1\sim100 1∼100之间。在实际应用中为了提高计算效率,通常设置为2的幂 2 n 2^n 2n 。
在实际应用中,小批量随机梯度下降法有收敛快、计算开销小的优点,因此逐渐成为大规模的机器学习中的主要优化算法。
此外,随机梯度下降相当于在批量梯度下降的梯度上引入了随机噪声。在非凸优化问题中,随机梯度下降更容易逃离局部最优点。
小批量随机梯度下降法的训练过程如下:
4.5.1.1 数据分组
为了小批量梯度下降法,我们需要对数据进行随机分组。目前,机器学习中通常做法是构建一个数据迭代器,每个迭代过程中从全部数据集中获取一批指定数量的数据。
数据迭代器的实现原理如下图所示:
- 首先,将数据集封装为Dataset类,传入一组索引值,根据索引从数据集合中获取数据;
- 其次,构建DataLoader类,需要指定数据批量的大小和是否需要对数据进行乱序,通过该类即可批量获取数据。
在实践过程中,通常使用进行参数优化。在飞桨中,使用torch.utils.data.DataLoader加载minibatch的数据,
torch.utils.data.DataLoader API可以生成一个迭代器,其中通过设置batch_size参数来指定minibatch的长度,通过设置shuffle参数为True,可以在生成minibatch的索引列表时将索引顺序打乱。
4.5.2 数据处理
构造IrisDataset类进行数据读取,继承自torch.utils.data.Dataset类。torch.utils.data.Dataset是用来封装 Dataset的方法和行为的抽象类,通过一个索引获取指定的样本,同时对该样本进行数据处理。当继承torch.utils.data.Dataset来定义数据读取类时,实现如下方法:
- getitem:根据给定索引获取数据集中指定样本,并对样本进行数据处理;
- len:返回数据集样本个数。
代码实现如下:
import torch
import numpy as np
import torch.utils.data
from sklearn.datasets import load_iris
# 加载数据集
def load_data(shuffle=True):
# 加载原始数据
X = np.array(load_iris().data, dtype=np.float32)
y = np.array(load_iris().target, dtype=np.int32)
X = torch.tensor(X)
y = torch.tensor(y)
# 数据归一化
X_min = torch.min(X, dim=0)
X_max = torch.max(X, dim=0)
X = (X - X_min.values) / (X_max.values - X_min.values)
# 如果shuffle为True,随机打乱数据
if shuffle:
idx = torch.randperm(X.shape[0])
X = X[idx]
y = y[idx]
return X, y
class IrisDataset(torch.utils.data.Dataset):
def __init__(self, mode='train', num_train=120, num_dev=15):
super(IrisDataset, self).__init__()
# 调用第三章中的数据读取函数,其中不需要将标签转成one-hot类型
X, y = load_data(shuffle=True)
if mode == 'train':
self.X, self.y = X[:num_train], y[:num_train]
elif mode == 'dev':
self.X, self.y = X[num_train:num_train + num_dev], y[num_train:num_train + num_dev]
else:
self.X, self.y = X[num_train + num_dev:], y[num_train + num_dev:]
def __getitem__(self, idx):
return self.X[idx], self.y[idx]
def __len__(self):
return len(self.y)
torch.manual_seed(12)
train_dataset = IrisDataset(mode='train')
dev_dataset = IrisDataset(mode='dev')
test_dataset = IrisDataset(mode='test')
# 打印训练集长度
print("length of train set: ", len(train_dataset))
运行结果:
length of train set: 120
4.5.2.2 用DataLoader进行封装
# 批量大小
batch_size = 16
# 加载数据
train_loader = torch.utils.data.DataLoader(train_dataset, batch_size=batch_size, shuffle=True)
dev_loader = torch.utils.data.DataLoader(dev_dataset, batch_size=batch_size)
test_loader = torch.utils.data.DataLoader(test_dataset, batch_size=batch_size)
4.5.3 模型构建
构建一个简单的前馈神经网络进行鸢尾花分类实验。其中输入层神经元个数为4,输出层神经元个数为3,隐含层神经元个数为6。
代码实现如下:
# 定义前馈神经网络
class Model_MLP_L2_V3(torch.nn.Module):
def __init__(self, input_size, output_size, hidden_size):
super(Model_MLP_L2_V3, self).__init__()
# 构建第一个全连接层
self.fc1 = nn.Linear(input_size,hidden_size)
nn.init.normal_(tensor=self.fc1.weight,mean=0.0, std=0.01)
nn.init.constant_(tensor=self.fc1.bias,val=1.0)
# 构建第二全连接层
self.fc2 = nn.Linear(hidden_size,output_size)
nn.init.normal_(tensor=self.fc2.weight,mean=0.0, std=0.01)
nn.init.constant_(tensor=self.fc2.bias,val=1.0)
# 定义网络使用的激活函数
self.act = nn.Sigmoid()
def forward(self, inputs):
outputs = self.fc1(inputs)
outputs = self.act(outputs)
outputs = self.fc2(outputs)
return outputs
fnn_model = Model_MLP_L2_V3(input_size=4, output_size=3, hidden_size=6)
4.5.4 完善Runner类
基于RunnerV2类进行完善实现了RunnerV3类。其中训练过程使用自动梯度计算,使用DataLoader加载批量数据,使用随机梯度下降法进行参数优化;模型保存时,使用state_dict方法获取模型参数;模型加载时,使用set_state_dict方法加载模型参数.
由于这里使用随机梯度下降法对参数优化,所以数据以批次的形式输入到模型中进行训练,那么评价指标计算也是分别在每个批次进行的,要想获得每个epoch整体的评价结果,需要对历史评价结果进行累积。这里定义Accuracy类实现该功能。
class RunnerV3(object):
def __init__(self, model, optimizer, loss_fn, metric, **kwargs):
self.model = model
self.optimizer = optimizer
self.loss_fn = loss_fn
self.metric = metric # 只用于计算评价指标
# 记录训练过程中的评价指标变化情况
self.dev_scores = []
# 记录训练过程中的损失函数变化情况
self.train_epoch_losses = [] # 一个epoch记录一次loss
self.train_step_losses = [] # 一个step记录一次loss
self.dev_losses = []
# 记录全局最优指标
self.best_score = 0
def train(self, train_loader, dev_loader=None, **kwargs):
# 将模型切换为训练模式
self.model.train()
# 传入训练轮数,如果没有传入值则默认为0
num_epochs = kwargs.get("num_epochs", 0)
# 传入log打印频率,如果没有传入值则默认为100
log_steps = kwargs.get("log_steps", 100)
# 评价频率
eval_steps = kwargs.get("eval_steps", 0)
# 传入模型保存路径,如果没有传入值则默认为"best_model.pdparams"
save_path = kwargs.get("save_path", "best_model.pdparams")
custom_print_log = kwargs.get("custom_print_log", None)
# 训练总的步数
num_training_steps = num_epochs * len(train_loader)
if eval_steps:
if self.metric is None:
raise RuntimeError('Error: Metric can not be None!')
if dev_loader is None:
raise RuntimeError('Error: dev_loader can not be None!')
# 运行的step数目
global_step = 0
# 进行num_epochs轮训练
for epoch in range(num_epochs):
# 用于统计训练集的损失
total_loss = 0
for step, data in enumerate(train_loader):
X, y = data
# 获取模型预测
logits = self.model(X)
loss = self.loss_fn(logits, y) # 默认求mean
total_loss += loss
# 训练过程中,每个step的loss进行保存
self.train_step_losses.append((global_step, loss.item()))
if log_steps and global_step % log_steps == 0:
print(
f"[Train] epoch: {epoch}/{num_epochs}, step: {global_step}/{num_training_steps}, loss: {loss.item():.5f}")
# 梯度反向传播,计算每个参数的梯度值
loss.backward()
if custom_print_log:
custom_print_log(self)
# 小批量梯度下降进行参数更新
self.optimizer.step()
# 梯度归零
self.optimizer.zero_grad()
# 判断是否需要评价
if eval_steps > 0 and global_step > 0 and \
(global_step % eval_steps == 0 or global_step == (num_training_steps - 1)):
dev_score, dev_loss = self.evaluate(dev_loader, global_step=global_step)
print(f"[Evaluate] dev score: {dev_score:.5f}, dev loss: {dev_loss:.5f}")
# 将模型切换为训练模式
self.model.train()
# 如果当前指标为最优指标,保存该模型
if dev_score > self.best_score:
self.save_model(save_path)
print(
f"[Evaluate] best accuracy performence has been updated: {self.best_score:.5f} --> {dev_score:.5f}")
self.best_score = dev_score
global_step += 1
# 当前epoch 训练loss累计值
trn_loss = (total_loss / len(train_loader)).item()
# epoch粒度的训练loss保存
self.train_epoch_losses.append(trn_loss)
print("[Train] Training done!")
# 模型评估阶段,使用'torch.no_grad()'控制不计算和存储梯度
@torch.no_grad()
def evaluate(self, dev_loader, **kwargs):
assert self.metric is not None
# 将模型设置为评估模式
self.model.eval()
global_step = kwargs.get("global_step", -1)
# 用于统计训练集的损失
total_loss = 0
# 重置评价
self.metric.reset()
# 遍历验证集每个批次
for batch_id, data in enumerate(dev_loader):
X, y = data
# 计算模型输出
logits = self.model(X)
# 计算损失函数
loss = self.loss_fn(logits, y).item()
# 累积损失
total_loss += loss
# 累积评价
self.metric.update(logits, y)
dev_loss = (total_loss / len(dev_loader))
dev_score = self.metric.accumulate()
# 记录验证集loss
if global_step != -1:
self.dev_losses.append((global_step, dev_loss))
self.dev_scores.append(dev_score)
return dev_score, dev_loss
# 模型评估阶段,使用'torch.no_grad()'控制不计算和存储梯度
@torch.no_grad()
def predict(self, x, **kwargs):
# 将模型设置为评估模式
self.model.eval()
# 运行模型前向计算,得到预测值
logits = self.model(x)
return logits
def save_model(self, save_path):
torch.save(self.model.state_dict(), save_path)
def load_model(self, model_path):
model_state_dict = torch.load(model_path)
self.model.load_state_dict(model_state_dict)
Accuracy类如下:
class Accuracy(object):
def __init__(self, is_logist=True):
# 用于统计正确的样本个数
self.num_correct = 0
# 用于统计样本的总数
self.num_count = 0
self.is_logist = is_logist
def update(self, outputs, labels):
# 判断是二分类任务还是多分类任务,shape[1]=1时为二分类任务,shape[1]>1时为多分类任务
if outputs.shape[1] == 1: # 二分类
outputs = torch.squeeze(outputs, axis=-1)
if self.is_logist:
# logist判断是否大于0
preds = (outputs>=0).to(torch.float32)
else:
# 如果不是logist,判断每个概率值是否大于0.5,当大于0.5时,类别为1,否则类别为0
preds = (outputs>=0.5).to(torch.float32)
else:
# 多分类时,使用'torch.argmax'计算最大元素索引作为类别
preds = torch.argmax(outputs, dim=1).int()
# 获取本批数据中预测正确的样本个数
labels = torch.squeeze(labels, axis=-1)
batch_correct = torch.sum(torch.tensor(preds==labels, dtype=torch.float32)).numpy()
batch_count = len(labels)
# 更新num_correct 和 num_count
self.num_correct += batch_correct
self.num_count += batch_count
def accumulate(self):
# 使用累计的数据,计算总的指标
if self.num_count == 0:
return 0
return self.num_correct / self.num_count
def reset(self):
# 重置正确的数目和总数
self.num_correct = 0
self.num_count = 0
def name(self):
return "Accuracy"
4.5.5 模型训练
使用训练集和验证集进行模型训练,共训练150个epoch。在实验中,保存准确率最高的模型作为最佳模型。
代码实现如下:
import torch.optim as opt
lr = 0.2
# 定义网络
model = fnn_model
# 定义优化器
optimizer = opt.SGD(model.parameters(),lr=lr)
# 定义损失函数。softmax+交叉熵
loss_fn = F.cross_entropy
# 定义评价指标
metric = Accuracy(is_logist=True)
runner = RunnerV3(model, optimizer, loss_fn, metric)
# 启动训练
log_steps = 100
eval_steps = 50
runner.train(train_loader, dev_loader,
num_epochs=150, log_steps=log_steps, eval_steps = eval_steps,
save_path="best_model.pdparams")
运行结果(只展示部分结果):
[Train] epoch: 100/150, step: 800/1200, loss: 0.41080
[Evaluate] dev score: 0.93333, dev loss: 0.40579
[Evaluate] dev score: 0.93333, dev loss: 0.37631
[Train] epoch: 112/150, step: 900/1200, loss: 0.42817
[Evaluate] dev score: 0.93333, dev loss: 0.34503
[Evaluate] dev score: 0.93333, dev loss: 0.33515
[Train] epoch: 125/150, step: 1000/1200, loss: 0.30737
[Evaluate] dev score: 0.93333, dev loss: 0.31923
[Evaluate] dev score: 0.93333, dev loss: 0.32041
[Train] epoch: 137/150, step: 1100/1200, loss: 0.28331
[Evaluate] dev score: 0.93333, dev loss: 0.28340
[Evaluate] dev score: 0.93333, dev loss: 0.27136
[Evaluate] dev score: 0.93333, dev loss: 0.25410
[Train] Training done!
可视化观察训练集损失和训练集loss变化情况。
import matplotlib.pyplot as plt
# 绘制训练集和验证集的损失变化以及验证集上的准确率变化曲线
def plot_training_loss_acc(runner, fig_name,
fig_size=(16, 6),
sample_step=20,
loss_legend_loc="upper right",
acc_legend_loc="lower right",
train_color="#e4007f",
dev_color='#f19ec2',
fontsize='large',
train_linestyle="-",
dev_linestyle='--'):
plt.figure(figsize=fig_size)
plt.subplot(1, 2, 1)
train_items = runner.train_step_losses[::sample_step]
train_steps = [x[0] for x in train_items]
train_losses = [x[1] for x in train_items]
plt.plot(train_steps, train_losses, color=train_color, linestyle=train_linestyle, label="Train loss")
if len(runner.dev_losses) > 0:
dev_steps = [x[0] for x in runner.dev_losses]
dev_losses = [x[1] for x in runner.dev_losses]
plt.plot(dev_steps, dev_losses, color=dev_color, linestyle=dev_linestyle, label="Dev loss")
# 绘制坐标轴和图例
plt.ylabel("loss", fontsize=fontsize)
plt.xlabel("step", fontsize=fontsize)
plt.legend(loc=loss_legend_loc, fontsize='x-large')
# 绘制评价准确率变化曲线
if len(runner.dev_scores) > 0:
plt.subplot(1, 2, 2)
plt.plot(dev_steps, runner.dev_scores,
color=dev_color, linestyle=dev_linestyle, label="Dev accuracy")
# 绘制坐标轴和图例
plt.ylabel("score", fontsize=fontsize)
plt.xlabel("step", fontsize=fontsize)
plt.legend(loc=acc_legend_loc, fontsize='x-large')
plt.savefig(fig_name)
plt.show()
plot_training_loss_acc(runner, 'fw-loss.pdf')
运行结果:
从输出结果可以看出准确率随着迭代次数增加逐渐上升直至收敛,损失函数则不断下降。
4.5.6 模型评价
使用测试数据对在训练过程中保存的最佳模型进行评价,观察模型在测试集上的准确率以及Loss情况。
代码实现如下:
# 加载最优模型
runner.load_model('best_model.pdparams')
# 模型评价
score, loss = runner.evaluate(test_loader)
print("[Test] accuracy/loss: {:.4f}/{:.4f}".format(score, loss))
运行结果:
[Test] accuracy/loss: 1.0000/0.2397
4.5.7 模型预测
同样地,也可以使用保存好的模型,对测试集中的某一个数据进行模型预测,观察模型效果。
代码实现如下:
# 获取测试集中第一条数据
X, label = train_dataset[0]
logits = runner.predict(X)
pred_class = torch.argmax(logits[0]).numpy()
label = label.numpy()
# 输出真实类别与预测类别
print("The true category is {} and the predicted category is {}".format(label, pred_class))
运行结果:
The true category is 2 and the predicted category is 2
思考题
1. 对比Softmax分类和前馈神经网络分类。
Softmax分类:
import numpy as np
import matplotlib.pyplot as plt
from sklearn import datasets
from sklearn.linear_model import LogisticRegression
from matplotlib.colors import ListedColormap
iris = datasets.load_iris() # 加载数据
list(iris.keys()) # 属性
X = iris["data"][:, (2, 3)] # 花瓣长度, 花瓣宽度
y = iris["target"]
# 设置超参数multi_class为"multinomial",指定一个支持Softmax回归的求解器,默认使用l2正则化,可以通过超参数C进行控制
softmax_reg = LogisticRegression(multi_class="multinomial", solver="lbfgs", C=500, random_state=42)
softmax_reg.fit(X, y)
softmax_reg.predict([[5, 2]]) # 输出:array([2])
softmax_reg.predict_proba([[5, 2]])
x0, x1 = np.meshgrid(np.linspace(0, 8, 500).reshape(-1, 1), np.linspace(0, 3.5, 200).reshape(-1, 1))
X_new = np.c_[x0.ravel(), x1.ravel()]
y_proba = softmax_reg.predict_proba(X_new)
y_predict = softmax_reg.predict(X_new)
zz1 = y_proba[:, 1].reshape(x0.shape)
zz = y_predict.reshape(x0.shape)
plt.figure(figsize=(10, 4))
plt.plot(X[y == 2, 0], X[y == 2, 1], "g^", label="Iris virginica")
plt.plot(X[y == 1, 0], X[y == 1, 1], "bs", label="Iris versicolor")
plt.plot(X[y == 0, 0], X[y == 0, 1], "yo", label="Iris setosa")
custom_cmap = ListedColormap(['#fafab0', '#9898ff', '#a0faa0'])
plt.contourf(x0, x1, zz, cmap=custom_cmap)
plt.xlabel("Petal length", fontsize=14)
plt.ylabel("Petal width", fontsize=14)
plt.legend(loc="center left", fontsize=14)
plt.axis([0, 7, 0, 3.5])
plt.show()
运行结果:
因为之前写过,这里就直接找到以前的代码复制过来了
from sklearn.datasets import load_iris
import pandas
import numpy as np
import matplotlib.pyplot as plt # 可视化工具
import torch
import op, metric, opitimizer
iris_features = np.array(load_iris().data, dtype=np.float32)
iris_labels = np.array(load_iris().target, dtype=np.int32)
print(pandas.isna(iris_features).sum())
print(pandas.isna(iris_labels).sum())
# 箱线图查看异常值分布
def boxplot(features):
feature_names = ['sepal_length', 'sepal_width', 'petal_length', 'petal_width']
# 连续画几个图片
plt.figure(figsize=(5, 5), dpi=200)
# 子图调整
plt.subplots_adjust(wspace=0.6)
# 每个特征画一个箱线图
for i in range(4):
plt.subplot(2, 2, i + 1)
# 画箱线图
plt.boxplot(features[:, i],
showmeans=True,
whiskerprops={"color": "#E20079", "linewidth": 0.4, 'linestyle': "--"},
flierprops={"markersize": 0.4},
meanprops={"markersize": 1})
# 图名
plt.title(feature_names[i], fontdict={"size": 5}, pad=2)
# y方向刻度
plt.yticks(fontsize=4, rotation=90)
plt.tick_params(pad=0.5)
# x方向刻度
plt.xticks([])
plt.savefig('ml-vis.pdf')
plt.show()
boxplot(iris_features)
# 加载数据集
def load_data(shuffle=True):
# 加载原始数据
X = np.array(load_iris().data, dtype=np.float32)
y = np.array(load_iris().target, dtype=np.int32)
X = torch.tensor(X)
y = torch.tensor(y)
# 数据归一化
X_min = torch.min(X, dim=0)
X_max = torch.max(X, dim=0)
X = (X - X_min.values) / (X_max.values - X_min.values)
# 如果shuffle为True,随机打乱数据
if shuffle:
idx = torch.randperm(X.shape[0])
X = X[idx]
y = y[idx]
return X, y
# 固定随机种子
torch.manual_seed(102)
num_train = 120
num_dev = 15
num_test = 15
X, y = load_data(shuffle=True)
print("X shape: ", X.shape, "y shape: ", y.shape)
X_train, y_train = X[:num_train], y[:num_train]
X_dev, y_dev = X[num_train:num_train + num_dev], y[num_train:num_train + num_dev]
X_test, y_test = X[num_train + num_dev:], y[num_train + num_dev:]
# 打印X_train和y_train的维度
print("X_train shape: ", X_train.shape, "y_train shape: ", y_train.shape)
# 打印前5个数据的标签
print(y_train[:5])
# 输入维度
input_dim = 4
# 类别数
output_dim = 3
# 实例化模型
model = op.model_SR(input_dim=input_dim, output_dim=output_dim)
class RunnerV2(object):
def __init__(self, model, optimizer, metric, loss_fn):
self.model = model
self.optimizer = optimizer
self.loss_fn = loss_fn
self.metric = metric
# 记录训练过程中的评价指标变化情况
self.train_scores = []
self.dev_scores = []
# 记录训练过程中的损失函数变化情况
self.train_loss = []
self.dev_loss = []
def train(self, train_set, dev_set, **kwargs):
# 传入训练轮数,如果没有传入值则默认为0
num_epochs = kwargs.get("num_epochs", 0)
# 传入log打印频率,如果没有传入值则默认为100
log_epochs = kwargs.get("log_epochs", 100)
# 传入模型保存路径,如果没有传入值则默认为"best_model.pdparams"
save_path = kwargs.get("save_path", "best_model.pdparams")
# 梯度打印函数,如果没有传入则默认为"None"
print_grads = kwargs.get("print_grads", None)
# 记录全局最优指标
best_score = 0
# 进行num_epochs轮训练
for epoch in range(num_epochs):
X, y = train_set
# 获取模型预测
logits = self.model(X)
# 计算交叉熵损失
trn_loss = self.loss_fn(logits, y).item()
self.train_loss.append(trn_loss)
# 计算评价指标
trn_score = self.metric(logits, y).item()
self.train_scores.append(trn_score)
# 计算参数梯度
self.model.backward(y)
if print_grads is not None:
# 打印每一层的梯度
print_grads(self.model)
# 更新模型参数
self.optimizer.step()
dev_score, dev_loss = self.evaluate(dev_set)
# 如果当前指标为最优指标,保存该模型
if dev_score > best_score:
self.save_model(save_path)
print(f"best accuracy performence has been updated: {best_score:.5f} --> {dev_score:.5f}")
best_score = dev_score
if epoch % log_epochs == 0:
print(f"[Train] epoch: {epoch}, loss: {trn_loss}, score: {trn_score}")
print(f"[Dev] epoch: {epoch}, loss: {dev_loss}, score: {dev_score}")
def evaluate(self, data_set):
X, y = data_set
# 计算模型输出
logits = self.model(X)
# 计算损失函数
loss = self.loss_fn(logits, y).item()
self.dev_loss.append(loss)
# 计算评价指标
score = self.metric(logits, y).item()
self.dev_scores.append(score)
return score, loss
def predict(self, X):
return self.model(X)
def save_model(self, save_path):
torch.save(self.model.params, save_path)
def load_model(self, model_path):
self.model.params = torch.load(model_path)
# 学习率
lr = 0.2
# 梯度下降法
optimizer = opitimizer.SimpleBatchGD(init_lr=lr, model=model)
# 交叉熵损失
loss_fn = op.MultiCrossEntropyLoss()
# 准确率
metric = metric.accuracy
# 实例化RunnerV2
runner = RunnerV2(model, optimizer, metric, loss_fn)
# 启动训练
runner.train([X_train, y_train], [X_dev, y_dev], num_epochs=200, log_epochs=10, save_path="best_model.pdparams")
def plot(runner, fig_name):
plt.figure(figsize=(10, 5))
plt.subplot(1, 2, 1)
epochs = [i for i in range(len(runner.train_scores))]
# 绘制训练损失变化曲线
plt.plot(epochs, runner.train_loss, color='#e4007f', label="Train loss")
# 绘制评价损失变化曲线
plt.plot(epochs, runner.dev_loss, color='#f19ec2', linestyle='--', label="Dev loss")
# 绘制坐标轴和图例
plt.ylabel("loss", fontsize='large')
plt.xlabel("epoch", fontsize='large')
plt.legend(loc='upper right', fontsize='x-large')
plt.subplot(1, 2, 2)
# 绘制训练准确率变化曲线
plt.plot(epochs, runner.train_scores, color='#e4007f', label="Train accuracy")
# 绘制评价准确率变化曲线
plt.plot(epochs, runner.dev_scores, color='#f19ec2', linestyle='--', label="Dev accuracy")
# 绘制坐标轴和图例
plt.ylabel("score", fontsize='large')
plt.xlabel("epoch", fontsize='large')
plt.legend(loc='lower right', fontsize='x-large')
plt.tight_layout()
plt.savefig(fig_name)
plt.show()
plot(runner, fig_name='linear-acc3.pdf')
# 加载最优模型
runner.load_model('best_model.pdparams')
# 模型评价
score, loss = runner.evaluate([X_test, y_test])
print("[Test] score/loss: {:.4f}/{:.4f}".format(score, loss))
# 预测测试集数据
logits = runner.predict(X_test)
# 观察其中一条样本的预测结果
pred = torch.argmax(logits[0]).numpy()
# 获取该样本概率最大的类别
label = y_test[0].numpy()
# 输出真实类别与预测类别
print("The true category is {} and the predicted category is {}".format(label, pred))
运行结果(部分展示):
[Dev] epoch: 140, loss: 0.7170670628547668, score: 0.6000000238418579
[Train] epoch: 150, loss: 0.5008670687675476, score: 0.875
[Dev] epoch: 150, loss: 0.707959771156311, score: 0.6000000238418579
best accuracy performence has been updated: 0.60000 --> 0.66667
[Train] epoch: 160, loss: 0.48960402607917786, score: 0.875
[Dev] epoch: 160, loss: 0.6996145844459534, score: 0.6666666865348816
[Train] epoch: 170, loss: 0.4792129397392273, score: 0.875
[Dev] epoch: 170, loss: 0.6919329166412354, score: 0.6666666865348816
[Train] epoch: 180, loss: 0.46958208084106445, score: 0.875
[Dev] epoch: 180, loss: 0.6848322749137878, score: 0.6000000238418579
[Train] epoch: 190, loss: 0.46061864495277405, score: 0.875
[Dev] epoch: 190, loss: 0.6782433390617371, score: 0.6000000238418579
[Test] score/loss: 0.7333/0.5930
The true category is 2 and the predicted category is 2


前馈神经网络分类结果:
[Test] accuracy/loss: 1.0000/0.2397
对比两种结果可知对于鸢尾花分类,前馈神经网络的准确率要高于Softmax分类。
2. 对比SVM与FNN分类效果,谈谈自己看法。
首先简单说一下SVM
SVM:支持向量机(support vector machines,SVM)是一种二分类模型,它将实例的特征向量映射为空间中的一些点,SVM 的目的就是想要画出一条线,以 “最好地” 区分这两类点,以至如果以后有了新的点,这条线也能做出很好的分类。SVM 适合中小型数据样本、非线性、高维的分类问题。
优点:
(1)解决了小样本情况下的机器学习。
(2)由于使用核函数方法克服了维数灾难和非线性可分的问题,所以向高维空间映射时没有增加计算的复杂度。(由于支持向量机算法的最终决策函数只由少数的支持向量所确定,所以计算的复杂性取决于支持向量的数目,而不是整个样本空间的维数)。
缺点:
(1)支持向量机算法对大规模训练样本难以实施,这是因为支持向量算法借助二次规划求解支持向量,这其中会设计m阶矩阵的计算,所以矩阵阶数很大时将耗费大量的机器内存和运算时间。
(2)经典的SVM只给出二分类的算法,而在数据挖掘中,一般要解决多分类的分类问题,而支持向量机对于多分类问题解决效果并不理想。
(3)现在常用的SVM理论都是使用固定惩罚系数C,但是正负样本的两种错误造成的损失是不一样的。
FNN:
优点: 可实现非线性映射,有自学能力,有推广概括能力。引入DNN对特征进行更高阶组合,减少特征工程,能在一定程度上增强FM的学习能力。这种尝试为后续深度推荐模型的发展提供了新的思路(相比模型效果而言,个人感觉这种融合思路意义更大)。
缺点: 采用梯度下降法,速度慢,有可能进入局部最小值而训练失败,新加入的样本有影响,可能会出现欠学习或过学习。两阶段训练模式,在应用过程中不方便,且模型能力受限于FM表征能力的上限。
FNN专注于高阶组合特征,但是却没有将低阶特征纳入模型。
总结
这章来说,好像也没有那么难,可能是有前面的基础了吧。
对于网络的构建也有了更深的理解,比如就是说,他都是有自己的步骤和流程的。
最后的一个选做题,没有做出来,倒是对自己有点失望。后面有实力了,再返回来给补上。
思维导图:
参考
逻辑回归、Softmax回归 — 鸢尾花分类
机器学习算法(一)SVM

创作不易,如果对你有帮助,求求你给我个赞!!!
点赞 + 收藏 + 关注!!!
如有错误与建议,望告知!!!(将于下篇文章更正)
请多多关注我!!!谢谢!!!
魔乐社区(Modelers.cn) 是一个中立、公益的人工智能社区,提供人工智能工具、模型、数据的托管、展示与应用协同服务,为人工智能开发及爱好者搭建开放的学习交流平台。社区通过理事会方式运作,由全产业链共同建设、共同运营、共同享有,推动国产AI生态繁荣发展。
更多推荐



所有评论(0)