机器学习-白板推导-系列(十二)笔记:变分推断
本博客为(系列十二)的笔记,对应的视频是:【(系列十二) 变分推断1-背景介绍】、【(系列十二) 变分推断2-公式推导】【(系列十二) 变分推断3-再回首】、【(系列十二) 变分推断4-SGVI-1】、【(系列十二) 变分推断5-SGVI-2】。
0 笔记说明
来源于【机器学习】【白板推导系列】【合集 1~23】,我在学习时会跟着up主一起在纸上推导,博客内容为对笔记的二次书面整理,根据自身学习需要,我可能会增加必要内容。
注意:本笔记主要是为了方便自己日后复习学习,而且确实是本人亲手一个字一个公式手打,如果遇到复杂公式,由于未学习LaTeX,我会上传手写图片代替(手机相机可能会拍的不太清楚,但是我会尽可能使内容完整可见),因此我将博客标记为【原创】,若您觉得不妥可以私信我,我会根据您的回复判断是否将博客设置为仅自己可见或其他,谢谢!
本博客为(系列十二)的笔记,对应的视频是:【(系列十二) 变分推断1-背景介绍】、【(系列十二) 变分推断2-公式推导】【(系列十二) 变分推断3-再回首】、【(系列十二) 变分推断4-SGVI-1】、【(系列十二) 变分推断5-SGVI-2】。
下面开始即为正文。
1 背景介绍
1.1 频率派
从频率角度研究机器学习的算法,最终会演化为优化问题。下面通过对之前讨论过的线性回归与SVM来举例说明为什么会演化为一个优化问题。
先看线性回归:首先假设数据集D中有N个样本实例,D={(x1, y1), (x2, y2),…,(xN, yN)},每个样本的xi∈Rp,每个样本的yi∈R,i=1…N。构造两个矩阵X与Y:X=(x1,x2,…,xN)T,X为N*P阶矩阵;Y=(y1,y2,…,yN)T,Y为N*1阶矩阵。描述如下:
再看SVM:
果然演化为一个优化问题了。
1.2 贝叶斯派
从贝叶斯角度研究机器学习的算法,最终会演化为积分问题。
上图右面可不就是积分问题么。
贝叶斯决策就是做预测,预测是这样的:
贝叶斯推断就是求后验概率,分为精确推断与近似推断,其中后者又分为确定性近似推断与随机近似推断。
本博文的主题——变分推断(Variational Inference,VI)属于确定性近似推断。
2 公式推导
设X为观测数据,Z为隐变量和参数,(X,Z)称为完整数据,log p(X)可写为:
则有:log p(x)=ELBO+KL[q(z)||p(z|x)],设ELBO为L(q(z)),则log p(x)=L(q(z))+KL[q(z)||p(z|x)],称L(q(z))为变分。
当q(z)→p(z|x)即q(z)越接近于p(z|x),则KL[q(z)||p(z|x)]越接近于0。对于log p(x)=L(q(z))+KL[q(z)||p(z|x)],若x固定,则log p(x)固定,即左面固定,现在要做的就是求q(z),使其接近于p(z|x),于是:
现在假设数据分为M个组,且各组之间相互独立,则q(z)为:
将ELBO=L(q(z))分为两个公式:
则ELBO=L(q(z))=①-②,假设M个组中,已固定第1个、第2个…第j-1个、第j+1个组…第M个组的q(zi),其中i=1,2,…,j-1,j+1,…,M,要求解的是第j个组的q(zj)。下面对①、②式分开处理,先是①式:
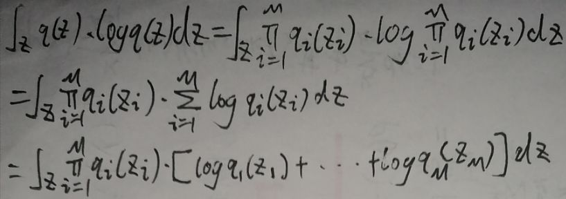
接下来是②式:
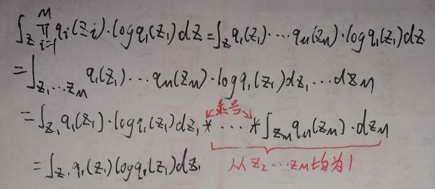
上式是②式的化简结果,先对第一项进行观察:
因此上上一张图片,即②的化简结果可继续化简为:
则ELBO=L(q(z))=①-②为:
3 符号修正
本节对第二节的某些符号进行修正,以免变量名混淆。
X={x(1),x(2),…,x(N)}为N个样本,x(i)为第i个样本,Z={z(1),z(2),…,z(N)}为N个隐数据,z(i)为第i个隐数据。设x为观测变量,z为隐变量,θ为参数,x∈Rp,xi为样本的第i个维度,z∈Rp,zi为隐数据的第i个维度,z的分布为q(z),则log pθ(X)可写为:
其中log pθ(x(i))为:
4 SGVI
SGVI,即Stochastic Gradient Variational Inference,翻译为随机梯度变分推断。
设隐变量z的分布为q(z),设该分布的参数为φ,现在记隐变量z的分布为qφ(z),则【3 符号修正】一节最后一张图片中的ELBO为:
记ELBO为L(φ),则:
现在求L(φ)关于φ的偏导数,即求L(φ)的梯度▽φL(φ):
由上图得L(φ)的梯度▽φL(φ)=①+②。先看②式:
即▽φL(φ)=①+②=①,又因为:
再看①式:
即▽φL(φ)=Eqφ(z){▽φ[log qφ(z)]·[log pθ(x(i),z)-log qφ(z)]}。
以下的内容我完全不理解,只是按照up主的内容照搬。
现在进行重参数化:假定z=gφ(ε,x(i)),其中ε~p(ε),z~qφ(z,x(i)),则有:
对:
则▽φL(φ)为:
设f(φ,z)=log pθ(x(i),z)-log qφ(z),由求导链式法则:
继续化简▽φL(φ)为:
之后需要使用MCMC方法,待更新。
END
魔乐社区(Modelers.cn) 是一个中立、公益的人工智能社区,提供人工智能工具、模型、数据的托管、展示与应用协同服务,为人工智能开发及爱好者搭建开放的学习交流平台。社区通过理事会方式运作,由全产业链共同建设、共同运营、共同享有,推动国产AI生态繁荣发展。
更多推荐


所有评论(0)