【Mo 人工智能技术博客】持续学习浅谈
【技术博客】持续学习浅谈作者:陈文儒1. 摘要人在学习新知识的时候,能根据之前的知识很快的学习相似的知识,并且能不遗忘从前的知识。而机器,或者更准确一点说神经网络,在学习新任务的同时会出现一些问题——灾难性遗忘问题(catastrophic forgetting)。解决这个问题的方法我们称之为持续学习(continual learning)。本文重点探讨了近年来的持续学习的一些经典方法,旨在能够更
【技术博客】持续学习浅谈
作者:陈文儒
1. 摘要
人在学习新知识的时候,能根据之前的知识很快的学习相似的知识,并且能不遗忘从前的知识。而机器,或者更准确一点说神经网络,在学习新任务的同时会出现一些问题——灾难性遗忘问题(catastrophic forgetting)。解决这个问题的方法我们称之为持续学习(continual learning)。本文重点探讨了近年来的持续学习的一些经典方法,旨在能够更好的了解这个问题,能够深入解决这个问题,能够为未来工作带来便利。
关键词:灾难性遗忘, 持续学习
2. 引言
人在学习新知识的时候,能根据之前的知识很快的学习相似的知识,并且能不遗忘从前的知识。而机器,或者更准确一点说神经网络,在学习新任务的同时会出现一些问题——灾难性遗忘问题(catastrophic forgetting),意思是模型学习了新任务的b,而再回去预测旧任务a时发现预测不准确了。灾难性遗忘问题是很严重的,例如飞机零部件异常检测,如果新加入一个零件使得忘记了之前的检测方法,那么一旦出现问题就是不可估计的灾难。所以这个称之为灾难性遗忘。
因此,针对此现象,需要提出解决方案,以解决灾难性问题,我们将这种方法称之为持续学习(continual learning)。
continual learning(也叫lifelong learning,incremental learning等等),中文一般称持续学习等等。持续学习是指希望模型能和人一样能基于过去的先验知识来快速准确的解决当前任务,然而对于人类而言与生俱来的能力对于模型来说却宛如大海捞针般困难。持续学习必须具备继续以前学习的能力,因此也称之为终生学习,名字上就非常形象。持续学习不同meta学习,不同迁移学习,相似但不同,后者解决的是根据经验快速学习,例如你会210=20,那么能很快的学习220=40。持续学习关注的点是遗忘。
而本文,在阅读了关于continual learning的相关文献,对continual learning有一个大致的脉络,能为实际应用中的项目落地后的持续学习提供更好的帮助。
continual learning其主要思想是约束梯度的方向,本文介绍的几种方法,都是基于梯度约束,而实现的效果也比较好,也比较经典。
3. Elastic weight consolidation
Elastic weight consolidation(EWC)的灵感来自哺乳动物的记忆,研究发现哺乳动物的大脑可能会通过大脑皮层回路来保护先前获得的知识,从而避免灾难性遗忘。实验中,一个小鼠需要记住一个行的技能时,大脑中一些突触就会被加强(单一神经元的树突棘数量的增加)。并且即使进行了后续的其他任务的学习,这些增加了的树突棘能够得到保持,以便几个月后相关能力仍然得到保留。但是当这些树突棘被选择性擦除后,相关的技能就会被遗忘。这表明对这些增强的突触的保护对于任务能力的保留至关重要。
而EWC,这个算法的主要思想是基于上述的发现。具体做法简单概述为:神经网络中并不是每个节点的都对结果有很大影响,在学习新任务时,减轻那些对旧任务影响过大的节点权重,即可达到继续学习的效果。
3.1 具体方法
假定目前有两个学习任务A,B。θA θB 是这两个任务的模型中的参数。A任务先学习,得到稳定的结果。这时再学习B任务,为了不让模型遗忘A任务,需要限制θA,使θA限制在一个比较低的错误范围。因此EWC能够在学习新任务的同时,将θA当作一个二次惩罚,就像图1所示。这个过程就像是压弹簧,对A来说,弹簧强度就应该增大,这样只有更大的惩罚才能改动θA,就能更好保留A任务的记忆,而对于B来说,弹簧强度就不变,这样也能更好地记住B任务,从而保留下两个任务的记忆。所有参数的强度都不一样,哪些对A任务影响大的参数,他们的强度应该更大。
那么如何为每个参数选择这个强度呢?
3.2 计算强度
作者意图是通过概率来计算这个强度的概率。给定一个数据集D,通过θ的先验概率,计算θ关于D的条件概率:![[外链图片转存失败,源站可能有防盗链机制,建议将图片保存下来直接上传(img-yIz1BvmW-1603763622409)(https://cdn.nlark.com/yuque/__latex/f64102e9a901f09ea5c30a08792cf499.svg#card=math&code=logp%28%CE%B8%E2%94%82D%29%3Dlogp%28D%E2%94%82%CE%B8%29%2Blogp%28%CE%B8%29-logp%28D%29%20%20%20%20%EF%BC%881%EF%BC%89&height=24&width=360)]](https://i-blog.csdnimg.cn/blog_migrate/87db32a835d8785c998ae981e15caac1.png)
该公式是基于贝叶斯公式推导出来的:
上述公式的 logp(θ│D) 实际上的值是,简单的来说是这个问题的loss值的负数:-L(θ)。
上述只是针对一个任务参数进行推导,假定现在有两个任务A,B。那么这条公式就可以重新推导为:![[外链图片转存失败,源站可能有防盗链机制,建议将图片保存下来直接上传(img-ReJOGyWi-1603763622416)(https://cdn.nlark.com/yuque/__latex/88abaabbfdd974994e78a3f02e05c4b7.svg#card=math&code=logp%28%CE%B8%E2%94%82D%29%3Dlogp%28D_B%E2%94%82%CE%B8%29%2Blogp%28%CE%B8%7CD_A%20%29-logp%28D_B%29%20%20%0A%20%20%EF%BC%882%EF%BC%89&height=24&width=411)]](https://i-blog.csdnimg.cn/blog_migrate/73da5719a8351de248d4945ffaecc31c.png)
左边仍然是参数的后验概率(给定全部数据),右边是仅仅依赖于任务B的![[外链图片转存失败,源站可能有防盗链机制,建议将图片保存下来直接上传(img-ZW3HCu8D-1603763622419)(https://cdn.nlark.com/yuque/__latex/25822aa5ef4be08dbfcd8ffd5b26caca.svg#card=math&code=logp%28D_B%E2%94%82%CE%B8%29&height=24&width=85)]](https://i-blog.csdnimg.cn/blog_migrate/f720a52a0555f722cb6caffe03583691.png)
。而任务A必须要被后验概率![[外链图片转存失败,源站可能有防盗链机制,建议将图片保存下来直接上传(img-3Dj6s5xz-1603763622421)(https://cdn.nlark.com/yuque/__latex/ccb53e5f72abba8b482a74552bd6f4cb.svg#card=math&code=logp%28%5Cthe%E2%94%82D_A%29&height=24&width=85)]](https://i-blog.csdnimg.cn/blog_migrate/d817fae93689644f9fc7e05d31714687.png)
吸收。
由于后验概率是很难得到的,因此,作者根据Laplace approximation,将后验概率近似为高斯分布,这个高斯分布是A任务的参数θA得到mean和对角线精度由Fisher information matrix(F)的对角线给出。F有被证明以下三点重要特性:a)F等价于loss函数的二阶导数的近似最小;b)他可以仅仅由loss的一阶导数求得,因此这也很容易能得到他;c)他保证了半正定。![[外链图片转存失败,源站可能有防盗链机制,建议将图片保存下来直接上传(img-zhPFC8qI-1603763622422)(https://cdn.nlark.com/yuque/__latex/fea1a3716d6fb78d54b60e3699bce321.svg#card=math&code=L%28%CE%B8%29%3DL_B%20%28%CE%B8%29%2B%20%E2%88%91_i%CE%BB%2F2%20F_i%20%28%CE%B8_i-%CE%B8_%7BA%2Ci%7D%29%5E2%20%283%29&height=28&width=296)]](https://i-blog.csdnimg.cn/blog_migrate/a21e1f989aae847dfaf4a010f0788381.png)
Fisher information是一次观测值所能提供的关于未知参数θ的信息量期望值的一种度量。相当于是弹簧的强度的一个度量。
当B任务训练完时,来了一个C,此时又可以将A,B当成就任务,以此类推。
3.2 有监督训练
作者设置了一个多层的全连接的神经网络,用来训练多个有监督任务。将数据进行洗牌以及做小batch,每个训练的任务都有固定的训练次数,并且不可增加。
图A中,可以看到EWC表现的非常好,能记住之前的任务,但是SGD就是在每个任务中有遗忘之前任务的迹象,而L2正则化发生了灾难性遗忘(在训练任务C时,任务B发生的)。
作者又把任务SGD拿出来单独比较,增加任务数量以后,这个记忆直线下降,图B所示。
图C表示的是,任务相似度对fisher矩阵重叠的影响。
4. 其他相关做法
4.1 LWF
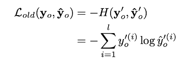
LWF其名Learning without Forgetting,其主要思想是通过知识蒸馏的方式处理灾难性遗忘问题。
如图所示,正常训练的模型如此。用θs表示前面特征提取的模型参数,用 θo表示用来分类的层的参数。
文章先是列举了现有的方案:如下三种,以及自身的LWF。
Fine-tuning和Feature Extraction实际上适用于相似任务,即数据集基本相似。而Joint Training必须要之前的老数据集,这在一些条件下是不被允许的,例如数据是需要隐私保护的,数据太大而不可能同时保存下来。
那么如何实现呢?
首先是预训练, 先让新增加的θn收敛,然后再使用知识蒸馏的方式联合学习。![[外链图片转存失败,源站可能有防盗链机制,建议将图片保存下来直接上传(img-0dSw8GBe-1603763622431)(https://cdn.nlark.com/yuque/__latex/3de5c1cb789a419f5147a232496cc589.svg#card=math&code=L_%7Bnew%7D%28y_n%2C%20%5Cwidehat%7By_n%7D%29%3D-y_n%2Alog%5Cwidehat%7By_n%7D%20%284%29&height=20&width=217)]](https://i-blog.csdnimg.cn/blog_migrate/44789560ef0d76f7b1eed6aa6f81faac.png)
这是新任务的Loss,也就是正常的交叉熵loss(MSE)。那么知识蒸馏是通过加入原始模型的loss做的,也就是:
这里是指当前模型生成的label,是指原模型生成的label。这是一个对交叉熵loss改进的loss函数。其中:
目的是为了增大样本数较少的weight。
下面用一个伪代码算法表示如下过程:
过程很清晰,最后一行,就是本文的关键。R是指一些正则化,而两个Loss函数上面已经解释过了。最后有个λ参数,这个参数决定了新旧任务在训练过程中的重要性之比,一般为1,这样两头都能兼顾。
4.2 MAS
Memory Aware Synapses: Learning what (not) to forget,这篇文章不同于上面两个的是进行了每个参数的强度的计算和更新。这篇论文首先放出了与上面的两种方法的对比:
作者自己说实际上自己的方法哪里都更好。代价小、领域广、无监督学习也能用、预留容量给以后的任务。Constant Memory:模型占用的内存是否是个常量,因为只有是常量才能避免后续任务增加而爆炸。Problem Agnostic:模型是否是只能解决一个问题?模型应该能够有一个良好表现,并且适用各个领域。On Pretrained:给定一个预训练好的模型,可以在其top上再进行改动,然后添加新任务。Unlabelled Data:模型是否能进行无监督学习?这个一个致命的问题,这决定了很多方向,模型能否学习。Adaptive:模型能否为每个任务,留出足够的空间。
这篇文章的主要思想是计算每个参数的强度Ω,从而根据这个强度来限制参数的更新强度。每当进来一个新任务对其进行训练时,对于Ω大的参数,在梯度下降中尽量减少它的改变幅度,因为该参数对过去的某个任务很重要,需要保留它的值来避免灾难性遗忘(catastrophic forgetting)。对于Ω比较小的参数,我们可以以较大的幅度对其进行梯度更新,以得到在该新任务上较好的性能或者准确率。在具体训练过程中,强度Ω以正则项的形式添加到loss function中。
4.2.1 计算强度
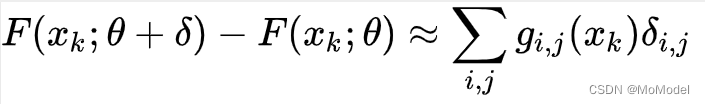
思想是:认为如果一个参数改变了以后对模型影响很大,那么这个参数的强度就应该很大。作者将这个模型改变的程度当做参数的强度。
首先假设F为前向传播的真实函数的一个近似函数,假设δ为一个扰乱参数,那么:![[外链图片转存失败,源站可能有防盗链机制,建议将图片保存下来直接上传(img-GAHZRaF8-1603763622438)(https://cdn.nlark.com/yuque/__latex/403f6f6ca4fe212b7fcd52277fbe8d47.svg#card=math&code=F%28x_k%3B%20%5Ctheta%20%2B%20%5Cdelta%29%20-%20F%28x_k%3B%20%5Ctheta%29%20%5Capprox%20%20%5Csum_%7Bi%2C%20j%7Dg_%7Bi%2C%20j%7D%28x_k%29%5Cdelta_%7Bi%2Cj%7D&height=42&width=289)]](https://i-blog.csdnimg.cn/blog_migrate/b958c63e67e7be6e75f601112398f45a.png)
左边是衡量参数变化带来的变化强度,右边是具体的做法。
实际上很自然的可以想到,衡量变化的强度,肯定优先使用梯度。那么,梯度只需要一个一阶求导就好了。
而强度Ω:![[外链图片转存失败,源站可能有防盗链机制,建议将图片保存下来直接上传(img-jusJBHuI-1603763622441)(https://cdn.nlark.com/yuque/__latex/97a33866371ed3a20772e33dd7531125.svg#card=math&code=%5COmega%20%3D%20%5Cfrac%7B1%7D%7BN%7D%5Csum_%7Bk%3D1%7D%5EN%5Cparallel%7B%7Dg_%7Bi%2C%20j%7D%28x_k%29%5Cparallel%7B%7D&height=53&width=170)]](https://i-blog.csdnimg.cn/blog_migrate/4b94cbbb81b8698cbf1dea48645ebe4b.png)
但是考虑到多维情况下,需要为每个维度计算,这不符合我们计算机专业省事的风格,所以作者用了一个二范式的平方来代替这个g函数的计算方法,这样就能将全部的维度统一到一个维度上,从而经过一次计算即可获得全部内容。
那么,整个模型的loss应该怎么算呢,又回到熟悉的loss:
他会根据强度来约束梯度的方向。![[外链图片转存失败,源站可能有防盗链机制,建议将图片保存下来直接上传(img-SIEUz72k-1603763622444)(https://cdn.nlark.com/yuque/__latex/175fe5a2fb6f7ff550a9985d164013e8.svg#card=math&code=L%28%CE%B8%29%3DL_B%20%28%CE%B8%29%2B%20%5Clambda%E2%88%91_%7Bi%2Cj%7D%5COmega_%7Bi%2Cj%7D%28%5Ctheta_%7Bi%2Cj%7D-%5Ctheta_%7Bi%2Cj%7D%5E%2A%29%5E2&height=30&width=284)]](https://i-blog.csdnimg.cn/blog_migrate/30fad5aff04829a0d7a5f52ae564604d.png)
5. 小结
总的来说,这里已经看了大致的持续学习的方法。持续方法做个总结:
1、regularization
2、训练新模型,模型聚合
3、重复训练之前的数据
4、长短时记忆,不断将短时记忆整合到长时记忆中
5、尽可能让学习的知识记在少数的神经元上
其实看下来的感触,并不是说每个方法必须这样,而是需要根据实际应用选择具体方法,解决具体问题,每个方法都有自己的适和应用。
像EWC,这样的方法就很通用,但是缺点也很明显,就是整体改变的强度是一致的这样没有区分可能不能让模型最优。
像LWF,这个就和模型聚合很像了,使用知识蒸馏能够更好的保留之前的任务。并且这个也适用于模型聚合。
像MAS,更加细节,也不依赖于数据,也是比较通用的算法。
未来的AI发展方向也将依赖于持续学习,而不是离线训练的算法。人类以这种方式学习,人工智能系统也将越来越有能力这样做。想象一下第一次前往一间办公室并且被障碍物绊倒。下一次你再去到那个地方,也许只是几分钟以后,你很可能就会知道要当心绊倒你的物体。
总之这个领域是一个广泛的领域,解决的问题也是复杂多样。有需要保护用户隐私而不能重复使用数据的,有模型异构的等等问题。总之需要多看看多了解,这样才能不断提升。也要根据实际问题采用具体方案。
6. 参考资料
[1] Kirkpatrick J, Pascanu R, Rabinowitz N, et al. Overcoming catastrophic forgetting in neural networks[J]. Proceedings of the national academy of sciences, 2017, 114(13): 3521-3526.
[2] Li Z, Hoiem D. Learning without forgetting[J]. IEEE transactions on pattern analysis and machine intelligence, 2017, 40(12): 2935-2947.
[3] Aljundi R, Babiloni F, Elhoseiny M, et al. Memory aware synapses: Learning what (not) to forget[C]//Proceedings of the European Conference on Computer Vision (ECCV). 2018: 139-154.
欢迎关注我们的微信公众号:MomodelAI
同时,欢迎使用 「Mo AI编程」 微信小程序
以及登录官网,了解更多信息:Mo 平台
Mo,发现意外,创造可能
魔乐社区(Modelers.cn) 是一个中立、公益的人工智能社区,提供人工智能工具、模型、数据的托管、展示与应用协同服务,为人工智能开发及爱好者搭建开放的学习交流平台。社区通过理事会方式运作,由全产业链共同建设、共同运营、共同享有,推动国产AI生态繁荣发展。
更多推荐
所有评论(0)