字节大模型岗面试:BF16为什么比FP16更适合大模型训练?
随着DeepSeek爆火,面试中也越来越高频出现,因此训练营也更新了DeepSeek系列技术的深入拆解。包括MLA、MTP、专家负载均衡、FP8混合精度训练,Dual-Pipe等关键技术,力求做到全网最硬核的解析~本篇文章主要对训练 LLM 以及部署应用时的精度问题进行了一些探讨和实践,读过后应该会对常用的浮点数 FP16,FP32,BF16 有一个更好的理解~
随着DeepSeek爆火,面试中也越来越高频出现,因此训练营也更新了DeepSeek系列技术的深入拆解。包括MLA、MTP、专家负载均衡、FP8混合精度训练,Dual-Pipe等关键技术,力求做到全网最硬核的解析~
本篇文章主要对训练 LLM 以及部署应用时的精度问题进行了一些探讨和实践,读过后应该会对常用的浮点数 FP16,FP32,BF16 有一个更好的理解~
浮点数据类型在 IEEE 754-2019(2008) 标准中进行了详细的定义,定义了不同精度的浮点数格式,如 binary16、binary32 和 binary64,分别用 16 位、32 位和 64 位二进制来表示。
想要更全方位深入的了解的话,可以点引用查看官方的 paper。下面进行一些常用的浮点数介绍。
最近已有不少大厂开启春招宣讲了。
节前,我们邀请了一些互联网大厂朋友、今年参加社招和校招面试的同学。
针对新手如何入门算法岗、该如何准备面试攻略、面试常考点、大模型技术趋势、算法项目落地经验分享等热门话题进行了深入的讨论。
总结链接如下:

FP16
FP16 也叫做 float16,两种叫法是完全一样的,全称是 Half-precision floating-point(半精度浮点数),在 IEEE 754 标准中是叫做 binary16。
简单来说是用 16 位二进制来表示的浮点数,来看一下是怎么表示的(以下图都来源于维基百科):

其中:

# 第一种计算方式
1.1001000000 = 1 * 2^0 + 1 * 2^(-1) + 0 * 2^(-2) + 0 * 2^(-3) + 1 * 2^(-4) + 0 * 2^(-5) + 0 * 2^(-6) + 0 * 2^(-7) + 0 * 2^(-8) + 0 * 2^(-9) = 1.5625
# 第二种计算方式
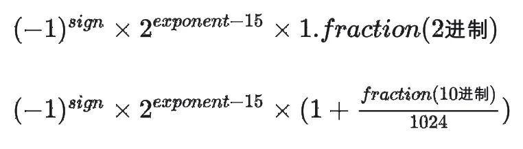
1.1001000000 = 1 + 576(1001000000变成10进制)/1024 = 1.5625
所以正常情况下计算公式就是:

举一个例子来计算,这个是 FP16(float16) 能表示的最大的正数:

同样,这个是 FP16(float16) 能表示的最大的负数:

这就是 FP16(float16) 表示的范围 [-65504,65504]。
我们来看一些特殊情况,FP16(float16) 能表示最小的正数是多少呢?

我们就不一一的计算了,贴一个 FP16(float16) 特殊数值的情况:

上表中,subnormal number 是指指数位为全 0 的特殊情况情况,其他的也是一些常见的特殊情况。
接下来看一下在 pytorch 中是如何表示的:
torch.finfo(torch.float16)
# 结果
finfo(resolution=0.001, min=-65504, max=65504, eps=0.000976562, smallest_normal=6.10352e-05, tiny=6.10352e-05, dtype=float16)
一些解释:
-
resolution(分辨率):这个浮点数类型的在十进制上的分辨率,表示两个不同值之间的最小间隔。对于torch.float16,分辨率是 0.001,就是说两个不同的torch.float16数值之间的最小间隔是 0.001。 -
min(最小值):对于torch.float16,最小值是 -65504。 -
max(最大值):对于torch.float16,最大值是 65504。 -
eps(机器精度):机器精度表示在给定数据类型下,比 1 大的最小浮点数,对于torch.float16,机器精度是 0.000976562,对应上表中的 smallest number larger than one。 -
smallest_normal(最小正规数):最小正规数是大于零的最小浮点数,对于torch.float16,最小正规数是 6.10352e-05,对应上表中的 smallest positive normal number -
tiny(最小非零数):最小非零数是大于零的最小浮点数,对于torch.float16,最小非零数也是 6.10352e-05,也是对应上表中的 smallest positive normal number
这里要详细的解释一下 resolution(分辨率),这个是我们以十进制来说的两个数之间的最小间隔,我们看一个例子就会明白:
import torch
# 把10进制数转化为 torch.float16
num = 3.141
num_fp16 = torch.tensor(num).half()
print(num_fp16)
# 结果
tensor(3.1406, dtype=torch.float16)
num = 3.1415
num_fp16 = torch.tensor(num).half()
print(num_fp16)
# 结果
tensor(3.1406, dtype=torch.float16)
# 可以看到3.141和3.1415间隔只有0.0005,所以在float16下结果是一样的
num = 3.142
num_fp16 = torch.tensor(num).half()
print(num_fp16)
# 结果
tensor(3.1426, dtype=torch.float16)
# 可以看到结果不一样了
从上面代码可以看到,十进制中相隔 0.001,在 float16 中才会有变化,这个时候会有一个疑问,难道精度只有小数点后三位?那怎么之前见了很多参数都是有很多小数点的?
那我们来看一下全过程,把 float16 变成 2 进制,再把 2 进制变成 16 进制:
import struct
def float16_to_bin(num):
# 将float16数打包为2字节16位,使用struct.pack
packed_num = struct.pack('e', num)
# 解包打包后的字节以获取整数表示
int_value = struct.unpack('H', packed_num)[0]
# 将整数表示转换为二进制
binary_representation = bin(int_value)[2:].zfill(16)
return binary_representation
num = 3.141
num_fp16 = torch.tensor(num).half()
print(num_fp16)
binary_representation = float16_to_bin(num_fp16)
print(binary_representation) # 打印二进制表示
# 结果
tensor(3.1406, dtype=torch.float16)
0100001001001000
num = 3.1415
num_fp16 = torch.tensor(num).half()
binary_representation = float16_to_bin(num_fp16)
print(binary_representation) # 打印二进制表示
# 结果
tensor(3.1406, dtype=torch.float16)
0100001001001000 # 还是一样的结果
num = 3.142
num_fp16 = torch.tensor(num).half()
print(num_fp16)
binary_representation = float16_to_bin(num_fp16)
print(binary_representation) # 打印二进制表示
# 结果
tensor(3.1426, dtype=torch.float16)
0100001001001001 # 不一样了
再看一下把 2 进制变成 16 进制:
def binary_to_float16(binary_string):
# 检查输入是否是有效的16位二进制字符串
if len(binary_string) != 16:
raise ValueError("输入的二进制字符串必须是16位长")
# 提取组成部分:符号、指数、尾数
sign = int(binary_string[0]) # 符号位
exponent = int(binary_string[1:6], 2) # 指数位
mantissa = int(binary_string[6:], 2) / 1024.0 # 尾数位,除以2的10次方(即1024)以获得10位精度
# 根据符号、指数和尾数计算float16值
value = (-1) ** sign * (1 + mantissa) * 2 ** (exponent - 15)
return value
# 10进制3.141对应float16:3.1406
binary_representation = "0100001001001000"
# 将二进制表示转换为float16
float16_value = binary_to_float16(binary_representation)
print("通过2进制转化后Float16值:", float16_value)
# 结果:
通过2进制转化后Float16值: 3.140625
# 10进制3.1415对应float16:3.1406
binary_representation = "0100001001001000"
# 将二进制表示转换为float16
float16_value = binary_to_float16(binary_representation)
print("通过2进制转化后Float16值:", float16_value)
# 结果:
通过2进制转化后Float16值: 3.140625
# 10进制3.142对应float16:3.1426
binary_representation = "0100001001001001"
# 将二进制表示转换为float16
float16_value = binary_to_float16(binary_representation)
print("通过2进制转化后Float16值:", float16_value)
# 结果:
通过2进制转化后Float16值: 3.142578125
因为在计算机中是以 2 进制存储计算的,所以转换后的 float16 值会有很多位小数,但这些后面的小数是没有精度的,换成 10 进制的精度是只有 0.001 的。
注:在 -1~1 之间精度是 0.0001,因为有隐含位1的关系,大家可以试一下。
BF16
BF16 也叫做 bfloat16(这是最常叫法),其实叫“BF16”不知道是否准确,全称 brain floating point,也是用 16 位二进制来表示的,是由 Google Brain 开发的,所以这个 brain 应该是 Google Brain 的第二个单词。
和上述 FP16 不一样的地方就是指数位和尾数位不一样,看图:
-
Sign(符号位):1 位,0 表示整数;1 表示负数
-
Exponent(指数位):8 位,表示整数部分,偏置值是 127
-
Fraction(尾数位):7 位,表示小数部分,也是隐含了首位的 1,实际的尾数精度为 8 位

计算公式:

这里要注意一下,并不是所有的硬件都支持 bfloat16,因为它是一个比较新的数据类型,在 NVIDIA GPU 上,只有 Ampere 架构以及之后的 GPU 才支持。
如何判断呢?很简单:
import transformers
transformers.utils.import_utils.is_torch_bf16_gpu_available()
# 结果为True就是支持
看一下在 pytorch 中是如何表示的:
import torch
torch.finfo(torch.bfloat16)
# 结果
finfo(resolution=0.01, min=-3.38953e+38, max=3.38953e+38, eps=0.0078125, smallest_normal=1.17549e-38, tiny=1.17549e-38, dtype=bfloat16)
这个结果就不在赘述了,每个字段表示的含义和上述的是一致的,主要注意的是 bfloat16 的 10 进制间隔精度是 0.01(注:在 -1~1 之间精度是 0.001),表示范围是 [-3.40282e+38,3.40282e+38]。
可以明显的看到 bfloat16 比 float16 精度降低了,但是表示的范围更大了,能够有效的防止在训练过程中的溢出。有兴趣的同学可以用上述代码实验一下 bfloat16~
FP32
FP32 也叫做 float32,两种叫法是完全一样的,全称是 Single-precision floating-point(单精度浮点数),在 IEEE 754 标准中是叫做 binary32。
简单来说是用 32 位二进制来表示的浮点数,看图:
-
Sign(符号位):1 位,0 表示整数;1 表示负数
-
Exponent(指数位):8 位,表示整数部分,偏置值是 127
-
Fraction(尾数位):23 位,表示小数部分,也是隐含了首位的 1,实际的尾数精度为 24 位

计算公式:

看一下在 pytorch 中是如何表示的:
import torch
torch.finfo(torch.float32)
# 结果
finfo(resolution=1e-06, min=-3.40282e+38, max=3.40282e+38, eps=1.19209e-07, smallest_normal=1.17549e-38, tiny=1.17549e-38, dtype=float32)
这个结果也不在赘述了,每个字段表示的含义和上述的是一致的,主要注意的是 float32 的 10 进制间隔精度是 0.000001。
(注:在 -1~1 之间精度是 0.0000001),表示范围是 [-3.40282e+38,3.40282e+38]。
可以看到 float32 精度又高,范围又大,可是 32 位的大小对于现在大模型时代的参数量太占空间了。
以上就是对常见 FP16,FP32,BF16 精度的浮点数的一点介绍,后续会围绕下面三个问题再进行讲解:
-
大模型中不同精度占用的显存大小?
-
大模型中不同精度之间如何转换?
-
模型训练中的混合精度是什么?
魔乐社区(Modelers.cn) 是一个中立、公益的人工智能社区,提供人工智能工具、模型、数据的托管、展示与应用协同服务,为人工智能开发及爱好者搭建开放的学习交流平台。社区通过理事会方式运作,由全产业链共同建设、共同运营、共同享有,推动国产AI生态繁荣发展。
更多推荐


所有评论(0)