12.BP神经网络算法权重weights求解公式推导
BP全链接神经网络算法权重weights求解公式推导
·
目录
推导输出层(output layer)神经元/感知器节点的权重公式
第一部分
推导所涉及的关系式
(罗列清楚,便于接下来的推导)

第二部分
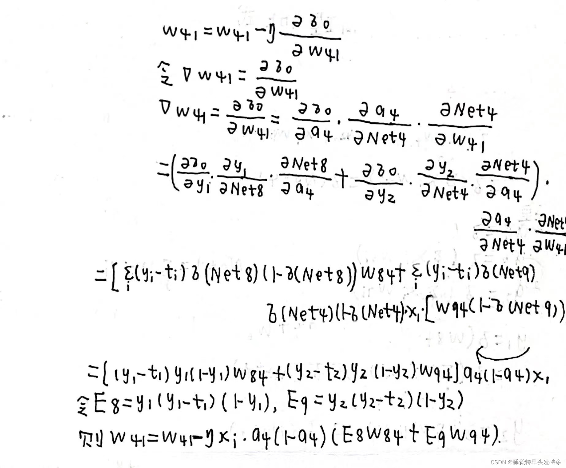
推导隐藏层(hidden layer)神经元/感知器节点的权重公式
由图1可得分配给了节点8和节点9,所以求全导而不是求偏导!

第三部分
推导输出层(output layer)神经元/感知器节点的权重公式

魔乐社区(Modelers.cn) 是一个中立、公益的人工智能社区,提供人工智能工具、模型、数据的托管、展示与应用协同服务,为人工智能开发及爱好者搭建开放的学习交流平台。社区通过理事会方式运作,由全产业链共同建设、共同运营、共同享有,推动国产AI生态繁荣发展。
更多推荐
所有评论(0)