机器学习_奇异值分解(SVD)详解
一.采样和维度维度是数据的一个非常重要的性质。二维或者低维的性质可以推广到高维,然而并不是所有低维的性质和现象都可以推广到高维情况,在高维世界里,有许多低维空间中顺理成章的事情不再成立,,并且由于很难形象理解,这些高维度中的变化往往是让人感到非常头疼的。这些高维空间中的困难就被称为维度的诅咒(Curse of Dimensionality)。对于一个长度为1的线段,均匀采样10个点。到了二维...
特征值和特征向量
特征值和特征向量的定义如下:
Ax=λxAx=\lambda xAx=λx
其中AAA是一个n×nn\times nn×n的实对称矩阵,xxx是一个nnn维向量,则我们说λ\lambdaλ是矩阵AAA的一个特征值,而xxx是矩阵AAA的特征值λ\lambdaλ所对应的特征向量。
特征值和特征向量的好处:
我们可以将矩阵AAA特征分解。如果我们求出了矩阵AAA的nnn个特征值λ1≤λ2≤...≤λn\lambda_{1}\le\lambda_{2}\le...\le\lambda_{n}λ1≤λ2≤...≤λn,以及这nnn个特征值所对应的特征向量w1,w2,...wn{w_1,w_2,...w_n}w1,w2,...wn,如果这nnn个特征向量线性无关,那么矩阵AAA就可以用下式的特征分解表示:
A=WΣW−1A=W\Sigma W^{-1}A=WΣW−1
其中WWW是这nnn个特征向量所组成的n×nn\times nn×n维矩阵,而Σ\SigmaΣ为这nnn个特征值为主对角线的n×nn\times nn×n维矩阵。
一般我们会把WWW的这nnn个特征向量标准化,即满足∣∣wi∣∣2=1||w_i||_{2}=1∣∣wi∣∣2=1,或者说wiTwi=1w_i^Tw_i=1wiTwi=1,此时WWW的nnn个特征向量为标准正交基,满足WTW=IW^TW=IWTW=I,即WT=W−1W^T=W^{-1}WT=W−1,也就是说www为酉矩阵。
这样我们就可以将特征分解表达式写成:
A=WΣWTA=W\Sigma W^TA=WΣWT
注意到要进行特征分解,矩阵AAA必须为方阵。那么如果AAA不是方阵,即行和列不相同时,我们还可以对矩阵进行分解吗?
当然是可以的,SVD就是这样的。
SVD的定义
SVD也是对矩阵进行分解,但是和特征分解不同,SVD并不要求要分解的矩阵为方阵。假设我们的矩阵AAA是一个m×nm\times nm×n的矩阵,那么我们定义矩阵AAA的SVD为:
A=UΣVTA=U\Sigma V^TA=UΣVT
其中UUU是一个m×mm\times mm×m的矩阵,Σ\SigmaΣ是一个m×mm\times mm×m的矩阵,除了主对角线上的元素以外全为0,主对角线上的每个元素都称为奇异值,VVV是一个n×nn\times nn×n的矩阵。UUU和VVV都是酉矩阵,即满足WTW=IW^TW=IWTW=I,VTV=IV^TV=IVTV=I。下图可以很形象的看出上面SVD的定义:

那么我们如何求出SVD分解后的U,Σ,VU,\Sigma,VU,Σ,V这三个矩阵呢?
如果我们将AAA的转置和AAA做矩阵乘法,那么会得到n×nn\times nn×n的一个方阵ATAA^TAATA。既然ATAA^TAATA是方阵,那么我们就可以进行特征分解,得到的特征值和特征向量满足下式:
(ATA)vi=λivi(A^TA)v_i=\lambda_iv_i(ATA)vi=λivi
这样我们就可以得到矩阵ATAA^TAATA的nnn个特征值和对应的nnn个特征向量vvv了。将ATAA^TAATA的所有特征向量组成一个n×nn\times nn×n的矩阵VVV,就是我们SVD公式里的VVV矩阵了。一般我们将VVV中的每个特征向量叫做AAA的右奇异向量。
如果我们将AAA和AAA的转置做矩阵乘法,那么会得到m×mm\times mm×m的一个方阵AATAA^TAAT。既然AATAA^TAAT是方阵,那么我们就可以进行特征分解,得到的特征值和特征向量满足下式:
(AAT)ui=λiui(AA^T)u_i=\lambda_iu_i(AAT)ui=λiui
这样我们就可以得到矩阵AATAA^TAAT的mmm个特征值和对应的mmm个特征向量uuu了。将AATAA^TAAT的所有特征向量组成一个m×mm\times mm×m的矩阵UUU,就是我们SVD公式里面的UUU矩阵了。一般我们将UUU中的每个特征向量叫做AAA的左奇异向量。
UUU和VVV我们都求出来了,现在就剩下奇异值矩阵Σ\SigmaΣ没有求出来了。由于Σ\SigmaΣ除了对角线上是奇异值其他位置都是0,那么我们只需要求出每个奇异值σ\sigmaσ就可以了。
我们注意到:
A=UΣVT⇒AV=UΣVTV⇒AV=UΣ⇒Avi=σiui⇒σi=AviuiA=U\Sigma V^T\Rightarrow AV=U\Sigma V^TV\Rightarrow AV=U\Sigma\Rightarrow Av_i=\sigma_iu_i\Rightarrow \sigma_i = \frac{Av_i}{u_i}A=UΣVT⇒AV=UΣVTV⇒AV=UΣ⇒Avi=σiui⇒σi=uiAvi
这样我们可以求出我们的每个奇异值,进而求出奇异值矩阵Σ\SigmaΣ。

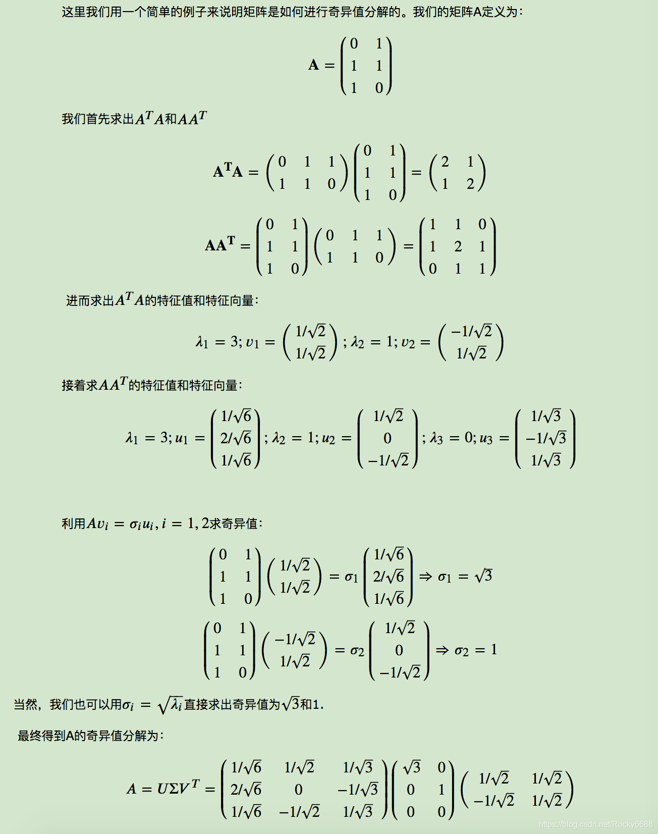
SVD计算举例

SVD的一些性质
对于奇异值,它跟我们特征分解中的特征值类似,在奇异值矩阵中也是按照从大到小排列,而且奇异值的减少特别的快,在很多情况下,前10%甚至1%的奇异值的和就占了全部的奇异值之和的99%以上的比例。也就是说,我们也可以用最大的k个的奇异值和对应的左右奇异向量来近似描述矩阵。也就是说:
Am×n=Um×mΣm×nVn×nT≈Um×kΣk×kVk×nTA_{m\times n}=U_{m\times m}\Sigma_{m\times n}V_{n\times n}^T\approx U_{m\times k}\Sigma_{k\times k}V_{k\times n}^TAm×n=Um×mΣm×nVn×nT≈Um×kΣk×kVk×nT
其中kkk要比nnn小很多,也就是一个大的矩阵AAA可以用三个小的矩阵Um×k,Σk×k,Vk×nTU_{m\times k},\Sigma_{k\times k},V_{k\times n}^TUm×k,Σk×k,Vk×nT来表示。如下图所示,现在我们的矩阵AAA只需要灰色的部分的三个小矩阵就可以近似描述了。

由于这个重要的性质,SVD可以用于PCA降维,来做数据压缩和去噪。也可以用于推荐算法,将用户和喜好对应的矩阵做特征分解,进而得到隐含的用户需求来做推荐。同时也可以用于NLP中的算法,比如潜在语义索引(LSI)。
SVD小结
SVD作为一个很基本的算法,在很多机器学习算法中都有它的身影,特别是在现在的大数据时代,由于SVD可以实现并行化,因此更是大展身手。SVD的原理不难,只要有基本的线性代数知识就可以理解,实现也很简单因此值得仔细的研究。当然,SVD的缺点是分解出的矩阵解释性往往不强,有点黑盒子的味道,不过这不影响它的使用。
魔乐社区(Modelers.cn) 是一个中立、公益的人工智能社区,提供人工智能工具、模型、数据的托管、展示与应用协同服务,为人工智能开发及爱好者搭建开放的学习交流平台。社区通过理事会方式运作,由全产业链共同建设、共同运营、共同享有,推动国产AI生态繁荣发展。
更多推荐

所有评论(0)