【机器学习】特征降维-特征选择
特征选择什么是特征选择定义: 数据中包含冗余或无关变量(或称特征、属性、指标等),旨在从原有特征中找出主要特征。方法:Filter(过滤式):主要探究特征本身特点、特征与特征和目标值之间关联方差选择法:低方差特征过滤相关系数Embedded (嵌入式):算法自动选择特征(特征与目标值之间的关联)决策树:信息熵、信息增益正则化:L1、L2深度学习:卷积等Wrapper (包裹式)模块sklearn.
特征选择
什么是特征选择
定义: 数据中包含冗余或无关变量(或称特征、属性、指标等),旨在从原有特征中找出主要特征。
方法:
-
Filter(过滤式):主要探究特征本身特点、特征与特征和目标值之间关联
- 方差选择法:低方差特征过滤
- 相关系数
-
Embedded (嵌入式):算法自动选择特征(特征与目标值之间的关联)
- 决策树:信息熵、信息增益
- 正则化:L1、L2
- 深度学习:卷积等
-
Wrapper (包裹式)
模块
sklearn.feature_selection
过滤式
低方差特征过滤
删除低方差的一些特征,前面讲过方差的意义。再结合方差的大小来考虑这个方式的角度。
-
特征方差小:某个特征大多样本的值比较相近
-
特征方差大:某个特征很多样本的值都有差别
API
- sklearn.feature_selection.VarianceThreshold(threshold = 0.0)
- 删除所有低方差特征
- Variance.fit_transform(X)
- X:numpy array格式的数据[n_samples,n_features]
- 返回值:训练集差异低于threshold的特征将被删除。默认值是保留所有非零方差特征,即删除所有样本中具有相同值的特征。
数据计算
我们对某些股票的指标特征之间进行一个筛选
一共这些特征
pe_ratio,pb_ratio,market_cap,return_on_asset_net_profit,du_return_on_equity,ev,earnings_per_share,revenue,total_expense
index,pe_ratio,pb_ratio,market_cap,return_on_asset_net_profit,du_return_on_equity,ev,earnings_per_share,revenue,total_expense,date,return
0,000001.XSHE,5.9572,1.1818,85252550922.0,0.8008,14.9403,1211444855670.0,2.01,20701401000.0,10882540000.0,2012-01-31,0.027657228229937388
1,000002.XSHE,7.0289,1.588,84113358168.0,1.6463,7.8656,300252061695.0,0.326,29308369223.2,23783476901.2,2012-01-31,0.08235182370820669
2,000008.XSHE,-262.7461,7.0003,517045520.0,-0.5678,-0.5943,770517752.56,-0.006,11679829.03,12030080.04,2012-01-31,0.09978900335112327
3,000060.XSHE,16.476,3.7146,19680455995.0,5.6036,14.617,28009159184.6,0.35,9189386877.65,7935542726.05,2012-01-31,0.12159482758620697
4,000069.XSHE,12.5878,2.5616,41727214853.0,2.8729,10.9097,81247380359.0,0.271,8951453490.28,7091397989.13,2012-01-31,-0.0026808154146886697
def variance_demo():
"""
过滤低方差特征
:return:
"""
# 1、获取数据
data = pd.read_csv("factor_returns.csv")
data = data.iloc[:, 1: -2]
print(data)
# 2、实例化一个转换器
transfer = VarianceThreshold(threshold=5)
# 3、调用fit_transform
data_new = transfer.fit_transform(data)
print("data_new", data_new, data_new.shape)
return None
if __name__ == '__main__':
# 低方差特征过滤
variance_demo()

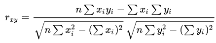
相关系数
皮尔逊相关系数(Pearson Correlation Coefficient): 反映变量之间相关关系密切程度的统计指标
公式计算案例(了解,不用记忆)
公式:

比如说我们计算年广告费投入与月均销售额


= 0.9942
所以我们最终得出结论是广告投入费与月平均销售额之间有高度的正相关关系。
特点
相关系数的值介于–1与+1之间,即–1≤ r ≤+1。其性质如下:
-
当r>0时,表示两变量正相关,r<0时,两变量为负相关
-
当|r|=1时,表示两变量为完全相关,当r=0时,表示两变量间无相关关系
-
当0<|r|<1时,表示两变量存在一定程度的相关。且|r|越接近1,两变量间线性关系越密切;|r|越接近于0,表示两变量的线性相关越弱
一般可按三级划分:|r|<0.4为低度相关;0.4≤|r|<0.7为显著性相关;0.7≤|r|<1为高度线性相关
这个符号:|r|为r的绝对值, |-5| = 5
API
from scipy.stats import pearsonr
x : (N,) array_like
y : (N,) array_like Returns: (Pearson’s correlation coefficient, p-value)
魔乐社区(Modelers.cn) 是一个中立、公益的人工智能社区,提供人工智能工具、模型、数据的托管、展示与应用协同服务,为人工智能开发及爱好者搭建开放的学习交流平台。社区通过理事会方式运作,由全产业链共同建设、共同运营、共同享有,推动国产AI生态繁荣发展。
更多推荐



所有评论(0)