自适应均衡器的理论分析和matlab仿真
摘要:本文介绍了自适应均衡器的实现原理与MATLAB仿真。自适应均衡器通过训练和跟踪两种模式动态调整抽头系数,补偿信道失真。核心步骤包括结构搭建、误差计算、系数更新和模式切换,采用LMS算法进行梯度下降优化。MATLAB仿真验证了QPSK信号在信道失真下的均衡效果,对比均衡前后信号星座图显示该方法能有效消除码间干扰。仿真结果表明自适应均衡器能显著改善信号质量,适用于动态信道环境。
目录
自适应均衡器是一种用于补偿信道失真的信号处理技术,广泛应用于通信系统。其核心目标是消除信道的幅频失真和相频失真,以及多径传播带来的码间串扰。与固定均衡器不同,自适应均衡器无需预先知道信道特性,而是通过接收数据的误差反馈,实时调整自身的抽头系数,跟踪信道的动态变化。其本质是一个自适应滤波器,通过优化准则迭代更新系数,使均衡器输出与理想信号的误差最小化。
1.自适应均衡器
自适应均衡器的实现分为训练模式和跟踪模式,核心步骤包括信号接收、滤波输出、误差计算、系数更新。其具体的实现步骤如下:
步骤1:均衡器结构搭建
自适应均衡器的基本结构为横向滤波器(抽头延迟线),分为线性均衡器(LE)和判决反馈均衡器(DFE),DFE因抗ISI性能更优应用更广。
线性均衡器(LE)

判决反馈均衡器(DFE)
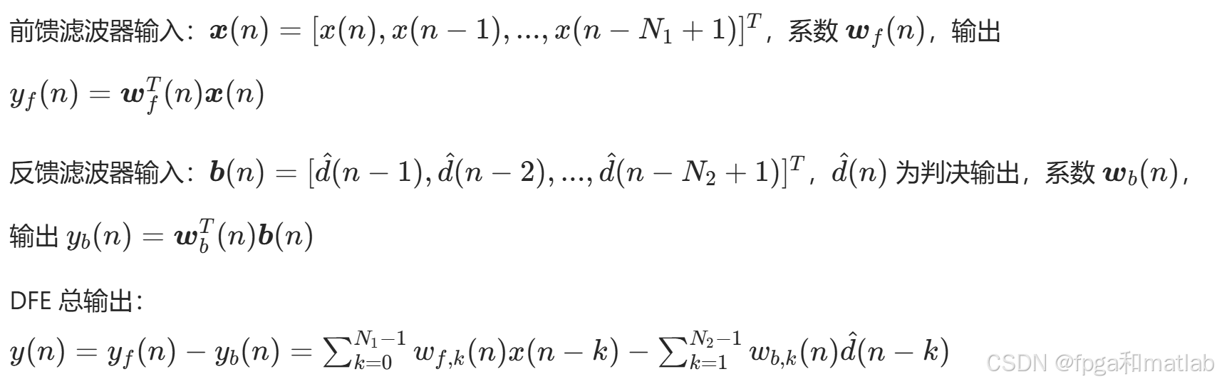
DFE由前馈滤波器和反馈滤波器组成,前馈滤波器处理当前接收信号,反馈滤波器处理已判决信号以消除后向ISI。

步骤2:训练模式的误差计算
训练模式下,发射端发送已知训练序列d(n),用于初始化均衡器系数。
计算均衡器输出y(n)(线性均衡器或DFE输出)。
计算误差信号e(n),即输出与训练序列的差值:
e(n)=d(n)−y(n)
误差的均方值(MSE)为优化目标:
J(n)=E[∣e(n)∣^2]
自适应算法的核心是通过调整系数w(n)使J(n)最小化。
步骤3:抽头系数自适应更新
系数更新是自适应均衡器的核心,基于最速下降法,通过误差信号的梯度反馈调整系数。LMS算法是一种随机梯度下降算法,其核心是用瞬时误差e(n)代替均方误差的梯度估计。
梯度估计公式:

系数更新公式:

其中,μ为步长因子,需满足 0<μ<1/λmax(λmax为输入信号自相关矩阵的最大特征值),用于平衡收敛速度和稳态误差:μ越大,收敛越快,稳态误差越大;反之则收敛慢,稳态误差小。
对于DFE的系数更新,前馈和反馈滤波器分别更新:

步骤4:切换至跟踪模式
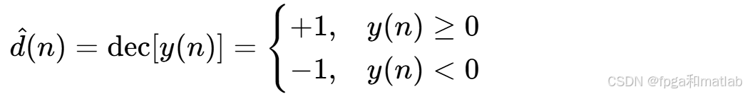
当训练序列传输完成后,均衡器切换至跟踪模式,此时不再有训练序列,而是将均衡器输出y(n) 经过判决器(如阈值判决)得到估计信号d^(n),作为期望信号反馈计算误差:

误差信号更新为:
![]()
后续系数更新流程与训练模式一致,通过实时误差反馈跟踪信道的动态变化。
步骤5:输出判决信号
经过均衡器补偿和系数迭代优化后,最终的判决信号d^(n)即为消除码间串扰后的接收信号,用于后续的解调和数据恢复。
2.MATLAB程序与仿真测试
clc;
clear;
close all;
warning off;
addpath(genpath(pwd));
b_1 = round(rand(1,10000)); % inphase bits {0,1}
b_2 = round(rand(1,10000)); % quadrature phase bits {0,1}
s = sqrt(1/2)*(1-2*b_1 + i*(1-2*b_2)); % QPSK symbols
c = [1,0.6,0.4]; % channel impulse response
s = s+[randn(size(s))+sqrt(-1)*randn(size(s))]/6;
x = filter(c,1,s); % channel output (no noise)
d = s; % desired symbols: zero delay
L = 10; % equaliser order
W = zeros(L,1); % equaliser weight
mu = 0.01;
for n = L:length(x),
Xn = x(n:-1:n-L+1).';% column vector
y(n) = W'*Xn;
e(n) = d(n)-y(n);
W = W + 2*mu*e(n)'*Xn;
w(n,1:L) = W; % evolution of W
end
figure;
subplot(131)
plot(s,'o');
grid on
title('发射信号图1a');
xlabel('Real');
ylabel('Image');
axis([-2,2,-2,2]);
subplot(132)
plot(x,'o');
grid on
title('均衡前');
xlabel('Real');
ylabel('Image');
axis([-2,2,-2,2]);
subplot(133),
plot(y,'o');
grid on
title('均衡后');
xlabel('Real');
ylabel('Image');
axis([-2,2,-2,2]);
测试结果如下:

魔乐社区(Modelers.cn) 是一个中立、公益的人工智能社区,提供人工智能工具、模型、数据的托管、展示与应用协同服务,为人工智能开发及爱好者搭建开放的学习交流平台。社区通过理事会方式运作,由全产业链共同建设、共同运营、共同享有,推动国产AI生态繁荣发展。
更多推荐



所有评论(0)