百川智能大模型面试题:PPO & GRPO 原理及区别是什么?
通过这个小学考试的比喻,我们逐步从只看绝对分数的朴素思路,演化到 PPO 的完整机制(Critic、Advantage、Clip、Reference Model),再到GRPO的创新思路(用一组输出的平均得分当基线,省去价值函数的繁琐)。以下几点值得再次强调:Critic 的意义:它为每个状态或阶段提供“合理预期”,大幅降低了训练方差;Clip & min 机制:约束策略更新幅度,避免一次考试“爆
最近这一两周不少公司已开启春招和实习招聘。
不同以往的是,当前职场环境已不再是那个双向奔赴时代了。求职者在变多,HC 在变少,岗位要求还更高了。
最近,我们又陆续整理了很多大厂的面试题,帮助一些球友解惑答疑,分享技术面试中的那些弯弯绕绕。
总结如下:

最新星球成员面试了百川智能大模型岗位,问了一道PPO & GRPO 原理及区别是什么?
在强化学习(RL)中,如果我们只知道“做对了能拿多少分”,那往往还不够,因为单纯追求高分可能带来种种副作用,比如过度搜索、模型不稳定、甚至“走捷径”而偏离合理范围。
为了解决这些问题,人们在 RL 中设计了许多机制——Critic(价值函数)、Clip 操作、Reference Model、以及最近流行的 GRPO(Group Relative Policy Optimization)等。
为了把这些概念讲得更生动,我们不妨打个比方:把 RL 模型的训练过程想象成小学里的考试场景。
我们(被训练的模型)就像努力考高分的学生,发奖品的人则像 Critic 或者其他调控机制。
接下来就让我们循序渐进地看看,为什么只靠最终成绩是不够的,为什么需要一步步引入 Critic、Clip、Reference Model,最后又是如何引出 GRPO 的思路。
只有 Reward 时的朴素做法:为什么会有问题
假设我和我弟弟都在小学同一个班上课。老师改卷后给出一个“绝对分数”,我的成绩一般 80 分以上,弟弟成绩大概 30 分左右。
然后我们把这个分数直接拿去找爸爸要零花钱——也就是用“分数本身”作为奖励(Reward)。谁考得分数高,零花钱就多。
一开始听上去没毛病,但结果就有两个问题:
-
不公平:如果弟弟从 30 分进步到 60 分,付出了非常大的努力,却依然比不过我平时随便考个 80+。他得不到有效激励。
-
不稳定:我为了冲刺高分,可能会采取极端学习策略(比如疯狂刷题、考前通宵),偶尔考到 95 分,偶尔只有 60 分,成绩大起大落,导致奖励信号也忽上忽下。
这样一来, 只拿绝对分数当作 Reward,奖励信号波动很大,弟弟也会觉得不公平,久而久之,就没动力进步了。
数学对应
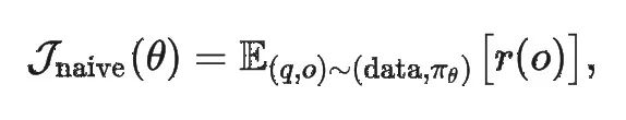
在强化学习里,如果我们只用:

也就是“把最终 Reward 直接拿来做优化目标”,就容易出现高方差、激励不充分等问题。
换言之,Actor 得不到一个和自身水平相称的参考线(baseline),进而影响学习效率。
引入 Critic:用“预期分数线”来改善奖励机制
针对上面的问题,爸爸很快意识到:“不能光看绝对分,而要看看每个人在自己水平线之上进步多少才是关键。”
于是爸爸决定:给我定一个“预期分数线”80 分;给弟弟定一个“预期分数线”40 分。考试时,只要超出自己那条线,就能得到更多零花钱;如果没有超出,那么零花钱就可能很少或者没有。
这样一来,弟弟如果努力从 30 分考到 60 分,超出自己预期分数线 20 分,就能得到可观的奖赏。
我如果还是 80 多分,增幅不明显,那就算分数比弟弟高,但并不一定多拿太多钱。
这样就鼓励了每个人以自己的水平为起点去进步,而不是一味比谁绝对分高。
当然,爸爸也很忙,不是说一旦定了分数线就一劳永逸——他得根据我们的学习状况来不断**“自我调节”**,因为如果弟弟水平已经到 60 分了,再给他设 40 分的线就不合理了。
反之,我要是一直考 85 分没什么波动,也可能需要微调我的分数线。 所以,爸爸也需要不断学习,只不过他需要学习的是我和弟弟的学习进度。
数学对应

有了这个“分数线”去做差,我们能降低训练过程中的方差;也让高于预期的动作拿到更大的梯度,低于预期的动作被抑制。
加入 Clip 与 min 操作:防止更新过度
有了“分数线”以后,效果确实好了很多。
但新的问题出现了:如果某一次考试我突然爆发,进了高分段,比如 95 或 100 分,爸爸会给我极高奖励,导致我在下一次考试前可能“走火入魔”,去尝试各种极端学习方法,成绩忽高忽低,奖励也随之剧烈波动。
为此,爸爸觉得要适度控制我更新学习策略的“步幅”——一次性冲太高也不一定要给我成倍加零花钱。给得太多,会让我产生极端探索心态;给得太少又会抑制热情。总之需要一个平衡。
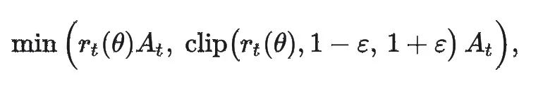
数学对应
在 PPO(Proximal Policy Optimization) 中,这个“平衡”靠“Clip” 操作来完成。
我们常见的 PPO 核心目标函数里,有这样一段:

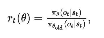
其中:

表示新策略与旧策略在这个动作上的概率比值。如果这个比值离 1 太远,就会被 Clip 在【1-ε,1+ε】区间内,从而限制一次更新幅度别过大。
用故事的话讲,就是:我考到 100 分,可以多拿奖励,但爸爸会有个“封顶”的约束;下一次还要观察一下再做决定,这样保持学习的平稳性,防止出现一条极端的“歪路子”。
Reference Model:防止作弊、极端策略
即便如此,如果我为了追求高分,不惜采取非常规手段——比如考试作弊、威胁老师改卷之类,那不就轻松拿下满分了吗?
这显然是违反原则的。而且如果在语言模型场景,可能出现生成有害言论、编造事实等“走歪”的行为。
于是爸爸又提出一个附加约束:“无论如何,你不能偏离最初正常学习的方法太多。否则即使你考了高分,我也判你不合格,零花钱也不给。”
这就好比我们在学期开始(也就是监督微调后)的“合规”状态那里画了一条“参照线”,新的行为不能和这个初始策略差太远,否则就要受到惩罚。
数学对应

GRPO:用“多次模拟成绩平均值”代替价值函数
有一天,爸爸说:“我没空天天衡量你的学习水平了,不想再手动给你画分数线。那你干脆先把试卷做 5 份模拟题,取这 5 次的平均分,这个平均分就是你的预期分数。真正考试时,如果你比这个平均分高,就说明你表现超出你自己的期望,我就给奖励;不够的话,说明你的表现没到平均线。”
如此一来,弟弟、我,甚至更多同学都可以用“自己多次模拟考试”的均值来做分数线,不需要依赖一个外部(爸爸)不断微调的“价值网络”。
前面几个环节,我们已经看到了 PPO 的思路:Actor + Critic + Clip + KL 惩罚。
但在实际应用尤其是大型语言模型(LLM)上,Critic(价值函数)通常需要跟 Actor 同等大小的网络去估计,否则很难评估到位,成本很高,而且有些场景(比如只在回答末尾才有一个整体 Reward)并不太适合训练出精细的价值函数。
这时候就出现了 Group Relative Policy Optimization(GRPO)。
它的要点是:_不用“学习”一个单独的价值网络当 Critic;_而是对同一道题目、同一个状态,先用旧策略采样多条输出,然后把这些输出的平均 Reward 当作 baseline; * 超过平均值就相当于“正向 Advantage”,低于平均值就是“负向 Advantage”。
在 GRPO 里,除了这一步,还保留了PPO 中的 Clip 和对 Reference Model 的 KL 正则,这些都可以保障更新的稳定性和合规性。
数学对应
DeepSeekMath 的技术报告里给出了 GRPO 的目标函数(省略部分符号细节):

结语:回顾与展望
通过这个小学考试的比喻,我们逐步从只看绝对分数的朴素思路,演化到 PPO 的完整机制(Critic、Advantage、Clip、Reference Model),再到GRPO的创新思路(用一组输出的平均得分当基线,省去价值函数的繁琐)。
以下几点值得再次强调:
-
Critic 的意义:它为每个状态或阶段提供“合理预期”,大幅降低了训练方差;
-
Clip & min 机制:约束策略更新幅度,避免一次考试“爆发”带来的巨幅震荡;
-
Reference Model:限制“作弊”或极端行为,让策略不要过度偏离最初合规范围;
-
GRPO 的优点:在大型语言模型中,省掉了价值网络,减少内存和计算负担,还与“对比式 Reward Model”天然契合。
就像爸爸改用“让孩子自己多次模拟,然后以平均分当预期线”的思路一样,GRPO 让我们不用再额外维护一个庞大的 Critic,也能获得类似的相对奖励信号。
从结果看,这既保持了 PPO 原有的稳定性和合规性,又让训练更直接和高效。
希望这篇文章能帮助读者更自然地理解 PPO 与 GRPO 的原理,也能在实践中有所启发。
魔乐社区(Modelers.cn) 是一个中立、公益的人工智能社区,提供人工智能工具、模型、数据的托管、展示与应用协同服务,为人工智能开发及爱好者搭建开放的学习交流平台。社区通过理事会方式运作,由全产业链共同建设、共同运营、共同享有,推动国产AI生态繁荣发展。
更多推荐


所有评论(0)