基于MIMO系统的SDR-AltMin混合预编码算法matlab性能仿真
CVX是一个用于Matlab和GNU Octave的建模系统,它允许用户以自然的数学形式编写凸优化问题,并使用通用的数学优化求解器来求解这些问题。该算法不仅能够提高系统的性能,还可以降低计算复杂度。SDR是一种将非凸优化问题转化为凸优化问题的技术,通过引入松弛变量和约束条件,将原本非凸的优化问题转化为一个凸优化问题,从而可以利用成熟的凸优化算法求解。SDR是一种将非凸优化问题转化为凸优化问题的技术
目录
1.算法仿真效果
matlab2022a仿真结果如下(完整代码运行后无水印):



仿真操作步骤可参考程序配套的操作视频。
2.算法涉及理论知识概要
基于MIMO(Multiple-Input Multiple-Output)系统的SDR-AltMin混合预编码算法是一种先进的无线通信技术,它结合了凸优化和交替最小化技术来优化大规模MIMO系统的性能。
2.1 SDR-AltMin混合预编码算法
预编码技术是MIMO系统中的关键技术之一,其目的是通过在发射端对信号进行适当的预处理,以提高接收端的信号质量。预编码器设计的目标是使信号在经过无线信道传输后,能够在接收端实现期望的信号重构。
SDR-AltMin混合预编码算法是一种针对大规模MIMO系统的高效预编码技术,它结合了半定松弛(Semidefinite Relaxation, SDR)和交替最小化(Alternating Minimization, AltMin)两种方法,以优化预编码矩阵。
2.1.1 SDR(半定松弛)
SDR是一种将非凸优化问题转化为凸优化问题的技术,通过引入松弛变量和约束条件,将原本非凸的优化问题转化为一个凸优化问题,从而可以利用成熟的凸优化算法求解。
2.1.2 SDR(半定松弛)
SDR是一种将非凸优化问题转化为凸优化问题的技术,通过引入松弛变量和约束条件,将原本非凸的优化问题转化为一个凸优化问题,从而可以利用成熟的凸优化算法求解。
2.2 SDR-AltMin算法原理
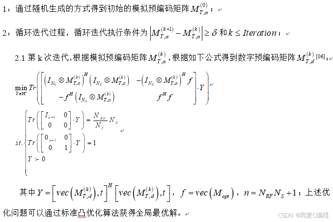
假设有一个MIMO系统,其中发送端有Nt 个天线,接收端有Nr 个天线,需要传输Ns 路独立的数据流。目标是设计一个预编码矩阵 F 和一个接收矩阵W,使得接收端的信号质量最优。整个算法的流程可以用如下流程图表示:


2.3 CVX工具箱
在本课题汇总,优化过程用到了cvx工具箱。CVX是一个用于Matlab和GNU Octave的建模系统,它允许用户以自然的数学形式编写凸优化问题,并使用通用的数学优化求解器来求解这些问题。CVX支持多种类型的凸优化问题,包括线性规划、二次规划、几何规划、半定规划等。在matlab中,调用cvx工具箱格式为:
cvx_begin % 开始CVX求解环境
variable X(n,n) hermitian
minimize(norm(A*X*B - C, 'fro'))
subject to
trace(X) == 1
X >= 0
cvx_end % 结束CVX求解环境
要在Matlab中调用CVX,只需在Matlab环境中导入CVX包,并使用CVX提供的API来构建和求解优化问题。
基于MIMO系统的SDR-AltMin混合预编码算法通过结合半定松弛和交替最小化技术,有效地解决了大规模MIMO系统中的预编码器设计问题。该算法不仅能够提高系统的性能,还可以降低计算复杂度。
3.MATLAB核心程序
..........................................................................
NRF = [2,4,8,16,32];
SNR = 10.^(SNR_dB./10);
realization = 20;
smax = length(SNR);% enable the parallel
for r = 1:length(NRF)
parfor reali = 1:realization
[ij1,ij2,r,reali]
[ FRF, FBB ] = SDR_AltMin( Fopt(:,:,reali), NRF(r) );
[ WRF, WBB ] = Receiver( Wopt(:,:,reali), NRF(r) );
R(r,reali) = log2(det(eye(Ns) + SNR/Ns * pinv(WRF * WBB) * H(:,:,reali) * FRF * FBB * FBB' * FRF' * H(:,:,reali)' * WRF * WBB));
end
end
% plot(NRF,sum(R,2)/realization,'Marker','diamond','LineWidth',1.5,'Color',[0.87058824300766 0.490196079015732 0]);
% grid on
% hold on
if SNR_dB==0
if Ns == 2
save nrfns2.mat NRF R realization
end
if Ns == 4
save nrfns4.mat NRF R realization
end
if Ns == 8
save nrfns8.mat NRF R realization
end
end
if SNR_dB==-5
if Ns == 2
save nrfns22.mat NRF R realization
end
if Ns == 4
save nrfns42.mat NRF R realization
end
if Ns == 8
save nrfns82.mat NRF R realization
end
end
if SNR_dB==-10
if Ns == 2
save nrfns23.mat NRF R realization
end
if Ns == 4
save nrfns43.mat NRF R realization
end
if Ns == 8
save nrfns83.mat NRF R realization
end
end
if SNR_dB==5
if Ns == 2
save nrfns24.mat NRF R realization
end
if Ns == 4
save nrfns44.mat NRF R realization
end
if Ns == 8
save nrfns84.mat NRF R realization
end
end
end
end
0X_071m
4.完整算法代码文件获得
V
魔乐社区(Modelers.cn) 是一个中立、公益的人工智能社区,提供人工智能工具、模型、数据的托管、展示与应用协同服务,为人工智能开发及爱好者搭建开放的学习交流平台。社区通过理事会方式运作,由全产业链共同建设、共同运营、共同享有,推动国产AI生态繁荣发展。
更多推荐


所有评论(0)