多传感器融合理论及其应用——3Bayes统计理论
Bayes统计理论认为,人们在检验前后对某事件的发生情况的估计是不同,而且一次检验结果不同对人们的最终估计的影响是不同的。
目录
1. Bayes统计理论
Bayes统计理论认为,人们在检验前后对某事件的发生情况的估计是不同,而且一次检验结果不同对人们的最终估计的影响是不同的。
1.1 先验知识
P(A1)、P(A2)、...、P(An)表示事件A1,A2,…,An,发生的概率,这是试验前的知识称为“先验知识”。
1.2 后验知识
由于一次检验结果B的出现,改变了人们对事件A,,A2,…,An,发生情况的认识,这是试验后的知识称为“后验知识”。
检验后事件A1, A2,…,An,发生的概率表现为条件概率:
P(A1|B)P(A2|B).P(An|B)
显然有:P(Ai|B)≥0

2. Bayes概率公式
Bayes估计是检验过程中对先验知识向后验知识的不断修正。
2.1 条件概率公式:
或
2.2 全概率公式
其中A为对样本空间的一个划分,即Ai为互斥事件且
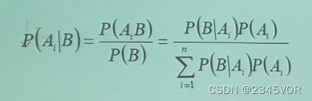
2.3 Bayes公式:
对一组互斥事件A;,i=1,2,..,n,在一次测量结果为B时,A,发生的概率为:

2.4 利用Baves统计理论进行测量数据融合:
充分利用了测量对象的先验信息。
是根据一次测量结果对先验概率到后验概率的修正。

3. 基于Bayes统计的目标识别融合模型

4. 举例计算
某医院采用以下两种设备检验某种疾病,设备1对该疾病的漏诊率为0.1,误诊率为0.25;设备2对该疾病的漏诊率为0.2,误诊率为0.1。已知人群中该疾病的发病率为0.05。分析分别利用两台设备和同时使用两台设备时检验结果的概率。
先验知识:
设备1对该疾病的漏诊率为
误诊率为
设备2对该疾病的漏诊率为
误诊率为
后验知识:
人群中该疾病的发病率为
设备1:
设备2:
两台设备时检验结果
5. 总结
上文带大家认识Bayes概率估计。后续会教大家更加奇特的操作,欢迎一键三连😂😂😂
在以后的博文中我们将分享更多生活技巧,美好生活每一天!好好学习天天向上,从而实现对外部世界进行感知,充分认识这个有机与无机的环境,科学地合理地进行创作和发挥效益,然后为人类社会发展贡献一点微薄之力。
魔乐社区(Modelers.cn) 是一个中立、公益的人工智能社区,提供人工智能工具、模型、数据的托管、展示与应用协同服务,为人工智能开发及爱好者搭建开放的学习交流平台。社区通过理事会方式运作,由全产业链共同建设、共同运营、共同享有,推动国产AI生态繁荣发展。
更多推荐






所有评论(0)