数据结构--二叉树
树是一种非线性的数据结构,它是由 n(n>=0) 个有限结点组成一个具有层次关系的集合。把它叫做树是因为它看起来像一棵倒挂的树,也就是说它是根朝上,而叶子朝下的。• 有一个特殊的结点,称为,根结点没有前驱结点。• 除根结点外,其余结点被分成 M(M>0) 个互不相交的集合 T1、T2、……、Tm ,其中每⼀个集合Ti(1 <= i <= m) 又是⼀棵结构与树类似的子树。每棵子树的根结点有且只有一
1. 树
1.1 树的概念与结构
树是一种非线性的数据结构,它是由 n(n>=0) 个有限结点组成一个具有层次关系的集合。把它叫做树是因为它看起来像一棵倒挂的树,也就是说它是根朝上,而叶子朝下的。
特点:
• 有一个特殊的结点,称为根结点,根结点没有前驱结点。
• 除根结点外,其余结点被分成 M(M>0) 个互不相交的集合 T1、T2、……、Tm ,其中每⼀个集合Ti(1 <= i <= m) 又是⼀棵结构与树类似的子树。每棵子树的根结点有且只有一个前驱,可以有 0 个或多个后继。因此,树是递归定义的。

注意:树形结构中,子树之间不能有交集,否则就不是树形结构!!!
非树形结构:

① 子树是不相交的;
② 除了根结点外,每个结点有且仅有一个父结点;
③ 一棵N个结点的树有N-1条边。
1.2 树的相关术语

父结点/双亲结点:若一个结点含有子结点,则这个结点称为其子结点的父结点;如上图:A是B的父结点;
子结点/孩子结点:一个结点含有的子树的根结点称为该结点的子结点;如上图:B是A的孩子结点;
结点的度:一个结点有几个孩子,他的度就是多少;比如A的度为6,F的度为2,K的度为0;
树的度:⼀棵树中,最大的结点的度称为树的度;如上图:树的度为 6;
叶子结点/终端结点:度为 0 的结点称为叶子结点;如上图: B、C、H、I... 等结点为叶子结点;
分支结点/非终端结点:度不为 0 的结点;如上图: D、E、F、G... 等结点为分支结点;
兄弟结点:具有相同父结点的结点互称为兄弟结点(亲兄弟);如上图: B、C 是兄弟结点;
结点的层次:从根开始定义起,根为第 1 层,根的子结点为第 2 层,以此类推;
树的高度或深度:树中结点的最大层次;如上图:树的高度为 4;
结点的祖先:从根到该结点所经分支上的所有结点;如上图: A 是所有结点的祖先;
路径:一条从树中任意节点出发,沿父节点-子节点连接,达到任意节点的序列;比如A到Q的路径为: A-E-J-Q;H到Q的路径H-D-A-E-J-Q子孙:以某结点为根的子树中任⼀结点都称为该结点的子孙。如上图:所有结点都是A的子孙;
森林:由 m(m>0) 棵互不相交的树的集合称为森林;
1.3 树的表示
孩子兄弟表示法:
树结构相对线性表就比较复杂了,要存储表示起来就比较麻烦了,既然保存值域,也要保存结点和结点之间的关系,实际中树有很多种表示方式如:双亲表示法,孩子表示法、孩子双亲表示法以及孩子兄弟表示法等。我们这里就简单的了解其中最常用的孩子兄弟表示法。
struct TreeNode
{
struct Node* child; // 左边开始的第⼀个孩⼦结点
struct Node* brother; // 指向其右边的下⼀个兄弟结点
int data; // 结点中的数据域
};

1.4 树形结构实际运用场景
文件系统是计算机存储和管理文件的⼀种方式,它用树形结构来组织和管理文件和文件夹。在文件系统中,树结构被广泛应用,它通过父结点和子结点之间的关系来表示不同层级的文件和文件夹之间的关联。


2. 二叉树
2.1 概念与结构
在树形结构中,我们最常用的就是二叉树,一棵二叉树是结点的一个有限集合,该集合由一个根结点加上两棵别称为左子树和右子树的二叉树或者空组成。

从上图可以看出二叉树具备以下特点:
1. 二叉树不存在度大于 2 的结点;
2. 二叉树的子树有左右之分,次序不能颠倒,因此二叉树是有序树。
注意:对于任意的二叉树都是由以下几种情况复合而成的

2.2 特殊的二叉树
2.2.1 满二叉树
一个二叉树,如果每一个层的结点数都达到最大值,则这个二叉树就是满⼆叉树。也就是说,如果一个二叉树的层数为 K ,且结点总数是 2k - 1 ,则它就是满二叉树。

2.2.2 完全二叉树
完全二叉树是效率很高的数据结构,完全二叉树是由满二叉树而引出来的。对于深度为 K 的,有 n 个结点的二叉树,当且仅当其每一个结点都与深度为K的满二叉树中编号从 1 至 n 的结点一一对应时称之为完全二叉树。要注意的是满二叉树是一种特殊的完全二叉树。

二叉树性质
根据满二叉树的特点可知:
1)若规定根结点的层数为 1 ,则一棵非空二叉树的第i层上最多有 2*i - 1 个结点
2)若规定根结点的层数为 1 ,则深度为 h 的⼆叉树的最大结点数是 2^h - 1
3)若规定根结点的层数为 1 ,具有 n 个结点的满二叉树的深度
( log以2为底, n+1 为对数)
2.3 二叉树存储结构
二叉树一般可以使用两种结构存储,一种顺序结构,一种链式结构。
2.3.1 顺序结构
顺序结构存储就是使用数组来存储,一般使用数组只适合表示完全二叉树,因为不是完全二叉树会有空间的浪费,完全二叉树更适合使用顺序结构存储。

现实中我们通常把堆(一种二叉树)使用顺序结构的数组来存储,需要注意的是这里的堆和操作系统虚拟进程地址空间中的堆是两回事,一个是数据结构,一个是操作系统中管理内存的⼀块区域分段。
2.3.2 链式结构
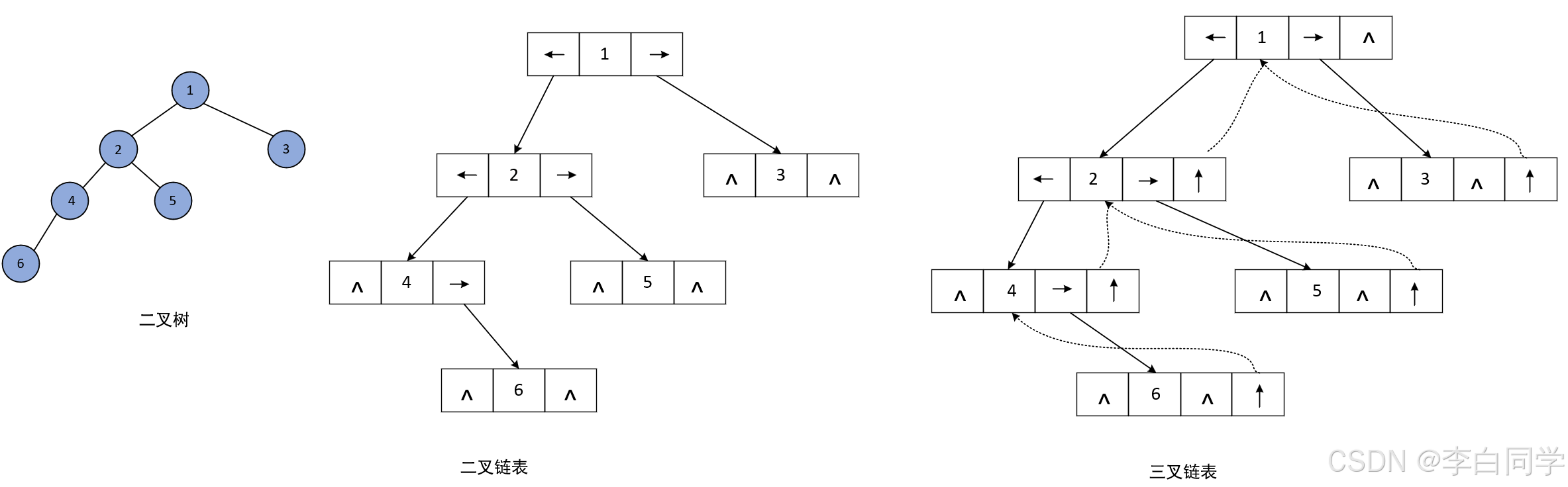
二叉树的链式存储结构是指,用链表来表示一棵二叉树,即用链来指示元素的逻辑关系。通常的方法是链表中每个结点由三个域组成,数据域和左右指针域,左右指针分别用来给出该结点左孩子和右孩子所在的链结点的存储地址。链式结构又分为二叉链和三叉链,初阶数据结构学习中一般都是二叉链。而高阶数据结构如红黑树等会用到三叉链。


完
魔乐社区(Modelers.cn) 是一个中立、公益的人工智能社区,提供人工智能工具、模型、数据的托管、展示与应用协同服务,为人工智能开发及爱好者搭建开放的学习交流平台。社区通过理事会方式运作,由全产业链共同建设、共同运营、共同享有,推动国产AI生态繁荣发展。
更多推荐


所有评论(0)