轨迹数据集分享
近期有众多读者私信交流,希望获取交通轨迹数据集。我在数年前学习数据分析课程时,由于兴趣恰好接触了数据分析的全流程。近两年来,由于公众号的定位,我时常接触数据分析的相关流程,本文分享一些资源。
·
轨迹数据集分享
文章目录
近期有众多读者私信交流,希望获取交通轨迹数据集。我在数年前学习数据分析课程时,由于兴趣恰好接触了数据分析的全流程。近两年来,由于公众号的定位,我时常接触数据分析的相关流程,本文分享一些交通轨迹数据集资源。
1、无锡市出租车轨迹数据集
数据描述:位于无锡的车辆轨迹数据,时间跨度为2020年7月18日到2020年8月17日。
数据字段:
id- 车辆标识经度- 经度坐标纬度- 纬度坐标采集时间- 数据采集时间戳方向- 行驶方向速度- 瞬时速度纵向加速度- 纵向加速度值横向加速度- 横向加速度值垂直加速度- 垂直方向加速度横摆角速度- 横摆角速度

特点
- 数据连续性强
- 数据量完整
- 结构化数据
- 数据量大(约数千万条数据)

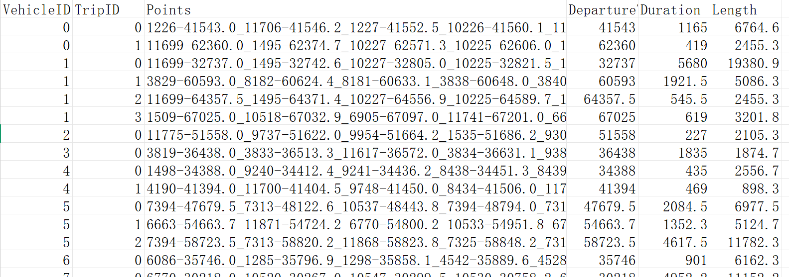
2、2021年深圳市车辆轨迹数据
数据描述:2021年深圳市车辆轨迹数据
数据字段:
VehicleID- 车辆IDTripID- 行程IDPoints- 轨迹点Departure- 出发信息Time- 时间信息Duration- 持续时间Length- 行程长度

特点
- 数据量大(约数百万条)
- 包含区域路网的节点和路段
- 结构化数据

3、重货GPS数据
数据描述:2025年二月重型货车GPS数据
数据字段:
fstr_id- 车辆标识fdt_time- 时间戳lng- 经度lat- 纬度fstr_type1- 类型1fstr_type2- 类型2fstr_type3- 类型3

特点
- 数据量巨大(数千万条)
- 时间连续
- 数据类型具有针对性
- 空间跨度大

4、深圳市2018年10月份出租车数据
数据描述:深圳市2018年10月份出租车轨迹数据
数据字段:
elevation- 海拔高度recorder_speed- 记录速度system_time- 系统时间plate_color- 车牌颜色gps_time- GPS时间to_police_num- 警员编号plate_num- 车牌号码gps_longitude- GPS经度erro_type- 错误类型gps_speed- GPS速度operator- 操作员map_latitude- 地图纬度map_longitude- 地图经度gps_latitude- GPS纬度event- 事件类型direction- 方向mileage- 里程


特点
- 数据连续性强
- 数据量完整
- 结构化数据
- 数据量大(约数千条)
- 字段丰富
- 数据挖掘方向多样

5、公交车20250209-20250212刷卡数据
数据描述:2025年2月9日至12日公交车刷卡数据
数据字段:
city_code- 城市代码industry_code- 行业代码company_code- 公司代码line_id- 线路IDdevice_id- 设备IDdriver_no- 驾驶员编号carpark_serial_no- 停车场序列号carpark_no- 停车场编号stop_serial_no- 站点序列号stop_no- 站点编号lon- 经度lat- 纬度ts- 时间戳speed_sensor- 传感器速度speed_gps- GPS速度direction- 方向in_temp- 内部温度service_state- 服务状态control_state- 控制状态total_miles- 总里程water_temp- 水温oil_consumption- 油耗engine_speed- 发动机转速inout_stop- 进出站状态days_year- 年天数hours_day- 日小时数server_ts- 服务器时间戳create_date- 创建日期section_code- 路段代码


特点
- 数据连续性强
- 数据量完整
- 结构化数据
- 数据量大(约数千万条)
- 字段丰富
- 数据挖掘方向多样



6、全量OD数据
数据描述:上海市区不同交通载体的OD数据,时间为2025年2月份
数据字段:
| 序号 | 字段名称 | 类型 | 描述 |
|---|---|---|---|
| 1 | ds | string | 日期,格式为YYYYMMDD |
| 2 | o_adcode | string | 起点城市代码区县级 |
| 3 | d_adcode | string | 终点城市代码区县级 |
| 4 | source_grid | string | 起点网格ID(100米、500米、1公里) |
| 5 | target_grid | string | 终点网格ID(100米、500米、1公里) |
| 6 | o_x | string | 起点坐标(网格中心点x) |
| 7 | o_y | string | 起点坐标(网格中心点y) |
| 8 | d_x | string | 终点坐标(网格中心点x) |
| 9 | d_y | string | 终点坐标(网格中心点y) |
| 10 | o_time | string | 开始时间,间隔为15分钟 |
| 11 | d_time | string | 结束时间,间隔为15分钟 |
| 12 | travel_mode | string | 出行方式,未知是无法识别的方式 |
| 13 | duration | string | 出行时间 |
魔乐社区(Modelers.cn) 是一个中立、公益的人工智能社区,提供人工智能工具、模型、数据的托管、展示与应用协同服务,为人工智能开发及爱好者搭建开放的学习交流平台。社区通过理事会方式运作,由全产业链共同建设、共同运营、共同享有,推动国产AI生态繁荣发展。
更多推荐

所有评论(0)