汤家凤高等数学基础手写笔记-不定积分
基础知识
·
越来越发现,下层基础决定上层建筑。除了考试,在研究中,我们能够用到的就是理论体系的知识,而不是会做题目的多少。做题目的目的在于加深对基础理论的理解。
本系列笔记汇总之处:汤家凤高等数学基础课2020年基础笔记概览



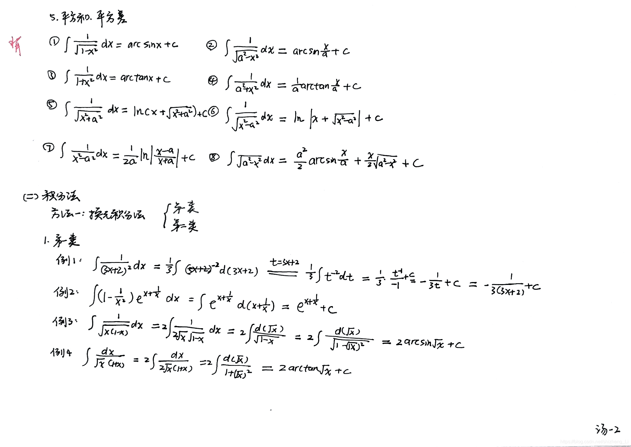
勘误:下面第4个积分书写错误,应为: ∫ 1 a 2 + x 2 d x = 1 a a r c t a n x a + C \int \frac{1}{a^2+x^2}dx=\frac{1}{a}arctan\frac{x}{a}+C ∫a2+x21dx=a1arctanax+C




魔乐社区(Modelers.cn) 是一个中立、公益的人工智能社区,提供人工智能工具、模型、数据的托管、展示与应用协同服务,为人工智能开发及爱好者搭建开放的学习交流平台。社区通过理事会方式运作,由全产业链共同建设、共同运营、共同享有,推动国产AI生态繁荣发展。
更多推荐

所有评论(0)