python 3d绘图_「Python实现数据可视化」创建3D柱状图
虽然matplotlib主要专注于绘图,并且主要是二维的图形,但是它也有一些不同的扩展,能让我们在地理图上绘图,让我们把Excel和3D图表结合起来。在matplotlib的世界里,这些扩展叫做工具包(toolkits)。工具包是一些关注在某个话题(如3D绘图)的特定函数的集合。比较流行的工具包有Basemap、GTK 工具、Excel工具、Natgrid、AxesGrid和mplot3d。本节将
虽然matplotlib主要专注于绘图,并且主要是二维的图形,但是它也有一些不同的扩展,能让我们在地理图上绘图,让我们把Excel和3D图表结合起来。在matplotlib的世界里,这些扩展叫做工具包(toolkits)。工具包是一些关注在某个话题(如3D绘图)的特定函数的集合。
比较流行的工具包有Basemap、GTK 工具、Excel工具、Natgrid、AxesGrid和mplot3d。
本节将探索关于mplot3d的更多功能。mpl_toolkits.mplot3工具包提供了一些基本的3D绘图功能,其支持的图表类型包括散点图(scatter)、曲面图(surf)、线图(line)和网格图(mesh)。虽然mplot3d不是一个最好的3D图形绘制库,但是它是伴随着matplotlib产生的,因此我们对其接口已经很熟悉了。
准备工作
基本来讲,我们仍然需要创建一个图表并把想要的坐标轴添加到上面。但不同的是我们为图表指定的是3D视图,并且添加的坐标轴是Axes3D。
现在,我们可以使用几乎相同的函数来绘图了。当然,函数的参数是不同的,需要为3个坐标轴提供数据。
例如,我们要为函数mpl_toolkits.mplot3d.Axes3D.plot指定xs、ys、zs和zdir参数。其他的参数则直接传给matplotlib.axes.Axes.plot。下面来解释一下这些特定的参数。
1.xs和ys:x轴和y轴坐标。
2.zs:这是z轴的坐标值,可以是所有点对应一个值,或者是每个点对应一个值。
3.zdir:决定哪个坐标轴作为z轴的维度(通常是zs,但是也可以是xs或者ys)。
提示:模块mpl_toolkits.mplot3d.art3d包含了3D artist代码和将2D artists转化为3D版本的函数。在该模块中有一个rotate_axes方法,该方法可以被添加到Axes3D中来对坐标重新排序,这样坐标轴就与zdir一起旋转了。zdir默认值为z。在坐标轴前加一个'``-``'会进行反转转换,这样一来,zdir的值就可以是x、-x、y、-y、z或者-z。
操作步骤
以下代码演示了我们所解释的概念。
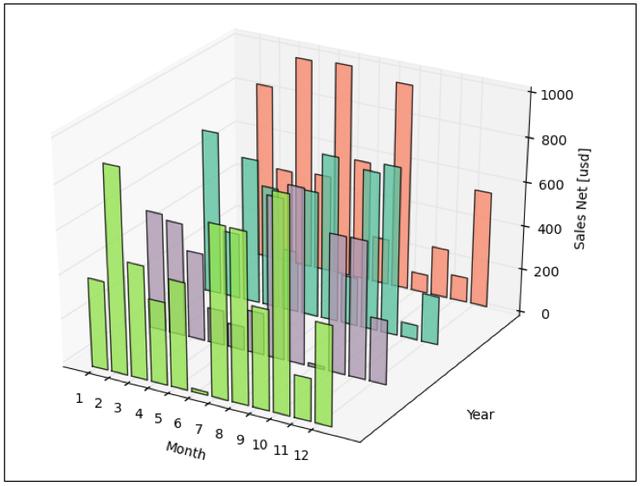
import randomimport numpy as npimport matplotlib as mplimport matplotlib.pyplot as pltimport matplotlib.dates as mdatesfrom mpl_toolkits.mplot3d import Axes3Dmpl.rcParams['font.size'] = 10fig = plt.figure()ax = fig.add_subplot(111, projection='3d')for z in [2011, 2012, 2013, 2014]: xs = xrange(1,13) ys = 1000 * np.random.rand(12) color =plt.cm.Set2(random.choice(xrange(plt.cm.Set2.N))) ax.bar(xs, ys, zs=z, zdir='y', color=color, alpha=0.8)ax.xaxis.set_major_locator(mpl.ticker.FixedLocator(xs))ax.yaxis.set_major_locator(mpl.ticker.FixedLocator(ys))ax.set_xlabel('Month')ax.set_ylabel('Year')ax.set_zlabel('Sales Net [usd]')plt.show()
上述代码生成如图5-1所示的图表。
图5-1
工作原理
我们需要像在2D世界中那样做相同的准备工作。不同的是,在这里需要指定后端(backend)的种类。然后生成了一些随机数据,例如4年的销售额(2011-2014)。
我们需要为3D坐标轴指定相同的Z值。
从颜色映射集合中随机选择一种颜色,然后把它和每一个Z-order集合的xs、ys对关联起来。最后,用xs、ys对渲染出柱状条序列。
补充说明
其他的一些matplotlib的2D绘图函数在这里也是可以用的,例如scatter()和plot()有着相似的接口,但有额外的点标记大小参数。我们对contour、contourf和bar也非常熟悉。
仅在3D中出现的新图表类型有线框图(wireframe)、曲面图(surface)和三翼面图(tri-surface)。
在下面的示例代码中,我们绘制了著名的Pringle函数的三翼面图,数学专业上的叫法是双曲面抛物线(hyperbolic paraboloid)。
from mpl_toolkits.mplot3d import Axes3Dfrom matplotlib import cmimport matplotlib.pyplot as pltimport numpy as npn_angles = 36n_radii = 8# An array of radii# Does not include radius r=0, this is to eliminate duplicate pointsradii = np.linspace(0.125, 1.0, n_radii)# An array of anglesangles = np.linspace(0, 2 * np.pi, n_angles, endpoint=False)# Repeat all angles for each radiusangles = np.repeat(angles[..., np.newaxis], n_radii, axis=1)# Convert polar (radii, angles) coords to cartesian (x, y) coords# (0, 0) is added here. There are no duplicate points in the (x, y)planex = np.append(0, (radii * np.cos(angles)).flatten())y = np.append(0, (radii * np.sin(angles)).flatten())# Pringle surfacez = np.sin(-x * y)fig = plt.figure()ax = fig.gca(projection='3d')ax.plot_trisurf(x, y, z, cmap=cm.jet, linewidth=0.2)plt.show()
上面的代码生成如图5-2所示的图形。
图5-2
本文摘自《Python数据可视化编程实战》
内容简介:本书是一本使用Python实现数据可视化编程的实战指南,介绍了如何使用Python最流行的库,通过60余种方法创建美观的数据可视化效果。
全书共8章,分别介绍了准备工作环境、了解数据、绘制并定制化图表、学习更多图表和定制化、创建3D可视化图表、用图像和地图绘制图表、使用正确的图表理解数据以及更多的matplotlib知识。
本书适合那些对Python编程有一定基础的开发人员阅读,可以帮助读者从头开始了解数据、数据格式、数据可视化,并学会使用Python可视化数据。
魔乐社区(Modelers.cn) 是一个中立、公益的人工智能社区,提供人工智能工具、模型、数据的托管、展示与应用协同服务,为人工智能开发及爱好者搭建开放的学习交流平台。社区通过理事会方式运作,由全产业链共同建设、共同运营、共同享有,推动国产AI生态繁荣发展。
更多推荐


所有评论(0)