信息融合项目matlab仿真代码及说明 针对杂波环境多目标跟踪问题,设计目标稀疏的目标运动场景,分别采用PDA和JPDA方法
针对杂波环境多目标跟踪问题,设计目标稀疏的目标运动场景,分别采用PDA和JPDA方法,对目标的状态进行有效估计和实时跟踪。(3)以RMSE,ARMSE,计算时间,航迹丢失百分率为对比性能指标,对两种算法进行了分析和总结。(1)对PDA和JPDA算法进行描述,分别详细介绍了两种算法的核心思想和实现过程;以航迹丢失百分率,位置状态估计精度,计算效率为指标,比较两种算法的优劣性。(2)设置仿真场景,采用
·
信息融合项目matlab仿真代码及说明
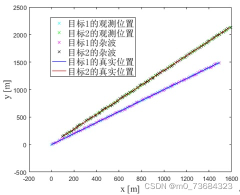
针对杂波环境多目标跟踪问题,设计目标稀疏的目标运动场景,分别采用PDA和JPDA方法,对目标的状态进行有效估计和实时跟踪。
以航迹丢失百分率,位置状态估计精度,计算效率为指标,比较两种算法的优劣性。
主要工作如下:
(1)对PDA和JPDA算法进行描述,分别详细介绍了两种算法的核心思想和实现过程;
(2)设置仿真场景,采用常速运动模型,同时设置杂波环境下目标个数为2个。
采用PDA和JPDA算法对杂波下的目标进行航迹跟踪。
(3)以RMSE,ARMSE,计算时间,航迹丢失百分率为对比性能指标,对两种算法进行了分析和总结。
ID:1650677502419823
Kaiser96226



魔乐社区(Modelers.cn) 是一个中立、公益的人工智能社区,提供人工智能工具、模型、数据的托管、展示与应用协同服务,为人工智能开发及爱好者搭建开放的学习交流平台。社区通过理事会方式运作,由全产业链共同建设、共同运营、共同享有,推动国产AI生态繁荣发展。
更多推荐


所有评论(0)