这思路绝了!强化学习+组合优化,顶会发到手软!
【强化学习与组合优化融合研究进展】 该领域通过结合强化学习的动态决策优势与组合优化的高效求解策略,为解决复杂优化问题提供了新方法。研究表明:1)连续松弛退火策略(CRA)通过罚项与退火机制提升了PI-GNN求解器的性能,在最大独立集等问题上超越传统算法;2)自由能机(FEM)融合统计物理与机器学习,利用多副本自由能最小化框架,在最大割等问题中展现出优越性。这些方法在物流、交通等领域具有应用潜力,但
在人工智能与运筹学的交叉领域,强化学习与组合优化的结合正催生出一系列突破性的创新研究。这种融合巧妙地利用强化学习的动态决策能力和组合优化的高效求解策略,为解决复杂的优化问题提供了全新的视角和方法。通过将强化学习中的策略梯度方法与组合优化的经典算法相结合,研究人员能够在动态环境中高效地求解路径规划、资源分配和调度等复杂问题。最新的研究还展示了如何利用深度强化学习模型来学习组合优化问题中的隐含结构,从而实现更优的解和更高的求解效率。
这种创新结合不仅在理论研究中展现出巨大潜力,更为物流、交通、智能制造等实际应用场景带来了更高效、更智能的解决方案。我整理了9篇关于【强化学习+组合优化】的相关论文,全部论文PDF版,工中号 沃的顶会 回复“强化组合”领取。
Controlling Continuous Relaxation for Combinatorial Optimization
文章解析
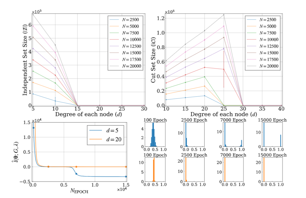
文章针对无监督学习组合优化求解器的问题,提出连续松弛退火(CRA)策略。
通过引入罚项和退火过程,改进求解效果,经实验验证其在多个组合优化问题上性能优异,提升了求解质量和效率。
创新点
提出CRA策略,引入罚项控制松弛变量的连续性和离散性,解决无监督学习求解器易陷局部最优和舍入问题。
设计退火机制调整罚项参数,前期促进探索,后期实现自动舍入,避免人工舍入的弊端。
该策略可应用于多种组合优化问题,在复杂问题上超越传统方法和其他学习算法。
研究方法
问题建模:将组合优化问题转化为无约束形式,利用罚函数处理约束条件。
构建策略:提出CRA策略,在PI-GNN求解器基础上引入罚项和退火过程,优化求解过程。
实验对比:在最大独立集、最大割和二分图匹配等问题上,对比CRA-PI-GNN与多种基线方法。
指标评估:采用近似比、独立集密度、割比等指标评估模型性能,分析算法效果。
研究结论
CRA-PI-GNN求解器在多个复杂组合优化问题上表现出色,显著超越PI-GNN求解器和贪心算法。
CRA策略有效消除人工舍入,加速学习过程,提高了无监督学习求解器的性能。
为组合优化问题提供了新的有效解决方法,但超参数调优仍有提升空间。

Free-Energy Machine for Combinatorial Optimization
文章解析
文章提出自由能机(FEM)算法求解组合优化问题,融合统计物理与机器学习理念。
通过在最大割、平衡最小割等问题上的实验,验证其性能优势,并探讨了算法的应用潜力和未来研究方向。
创新点
提出FEM算法,基于统计物理自由能最小化与机器学习自动微分和梯度优化,统一框架求解各类组合优化问题。
利用副本对称性破缺思想,通过多副本平均场自由能探索,有效寻找最优解,提升算法性能。
能处理多种复杂组合优化问题,包括具有多值状态和高阶相互作用的问题,适用性广。
研究方法
理论建模:将组合优化问题的成本函数类比为自旋玻璃系统能量,构建基于变分平均场自由能的求解框架。
实验对比:针对不同类型组合优化问题,对比FEM与其他前沿算法,验证其性能。
算法实现:运用自动微分计算梯度,结合深度学习优化方法更新参数,并利用GPU实现并行计算。
拓展应用:将FEM应用于芯片验证等实际问题,展示其在现实场景中的有效性。
研究结论
FEM在求解组合优化问题上比现有算法表现更优,能高效处理大规模问题,且解的质量更高。
FEM可应用于多种组合优化问题,包括具有复杂约束和相互作用的场景,具有广泛的适用性。
结合更复杂的平均场理论有望进一步提升FEM性能,为后续研究提供了方向。

魔乐社区(Modelers.cn) 是一个中立、公益的人工智能社区,提供人工智能工具、模型、数据的托管、展示与应用协同服务,为人工智能开发及爱好者搭建开放的学习交流平台。社区通过理事会方式运作,由全产业链共同建设、共同运营、共同享有,推动国产AI生态繁荣发展。
更多推荐


所有评论(0)