0阶贝塞尔函数_【自动驾驶】运动规划丨轨迹规划丨贝塞尔Bezier曲线
贝塞尔(Bezier)曲线由一组多边折线(特征多边形)的各个顶点唯一定义,只需要很少的控制点就能够生成较复杂的平滑曲线。该方法能够保证输入的控制点与生成的曲线之间的关系非常简洁、明确,并且可以很方便的改变曲线的形状和阶次。几种Bezier曲线介绍贝塞尔曲线分为几种,一般2阶、3阶、4阶,或者更高阶的比较少见到。一阶Bezier曲线:很显然是一条直线2. 二阶Bezier曲线:3. 三阶Bezier
贝塞尔(Bezier)曲线由一组多边折线(特征多边形)的各个顶点唯一定义,只需要很少的控制点就能够生成较复杂的平滑曲线。该方法能够保证输入的控制点与生成的曲线之间的关系非常简洁、明确,并且可以很方便的改变曲线的形状和阶次。
几种Bezier曲线介绍
贝塞尔曲线分为几种,一般2阶、3阶、4阶,或者更高阶的比较少见到。
- 一阶Bezier曲线:很显然是一条直线
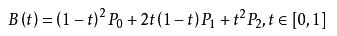
2. 二阶Bezier曲线:
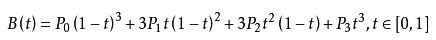
3. 三阶Bezier曲线:
贝塞尔曲线具有众多特性,例如凸包性、对称性、几何不变性、仿射不变性、拟局部性,保证了生成曲线的平滑性、连续性和可控性。
三阶Bezier曲线的控制点确定
假设道路上已经有(n+1)个采样点Pi(i=0,1,...,n),需要在相邻的每两个点P(i)和P(i+1)之间,用一条3次Bezier曲线连接。即由4个点确定, P0为起点、P3为终点,另外中间2个控制点P1和P2。
由四个控制点定义的平面三阶贝塞尔曲线可以形式化地表示为:
如图所示,在轨迹生成过程中,将目标车辆的中心点坐标作为起点P0,以目标车辆的驶意图为引导推理得到的目标点作为P3,其他两个控制点由车辆的约束条件计算得到。
由于车辆在运动过程中无法进行原地滑动移动,所以生成的曲线需要满足起点方向约束。另外,在执行换道和转弯动作时,在终点处行驶轨迹要遵从道路结构化特征的约束,行驶轨迹的切线方向和道路的走势要相同,所以生成轨迹的终点需要满足终点方向约束。为了满足上述方向约束,P1和P2分别通过以起点坐标为起点沿起点航向向前移动距离d,以终点P3为起点沿终点航向的反方向向后移动距离d得到。
简单来说,考虑到车辆起止点速度方向的连续性,即要求曲线函数的一阶导数连续。
clear
魔乐社区(Modelers.cn) 是一个中立、公益的人工智能社区,提供人工智能工具、模型、数据的托管、展示与应用协同服务,为人工智能开发及爱好者搭建开放的学习交流平台。社区通过理事会方式运作,由全产业链共同建设、共同运营、共同享有,推动国产AI生态繁荣发展。
更多推荐


所有评论(0)