自动驾驶の泊车算法
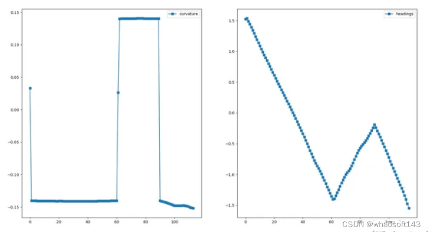
我以为测试结果会很差,结果还是有点出乎意料的,虽然有的时候会出现无解,但是只要初始线段给的好一点就不会出问题,优化的速度也挺快平均时间大概是0.3s, 路径的质量的评价我觉得主要是看平滑度和曲率大小,只要曲率不会超过车辆最小转弯半径就可以了, 这里我设置的曲率最大是0.155, 列了几组测试图,第一个是直线段参考线和优化后的路径图,第二幅是对应的曲率和航向。路径点的间隔不能小,否则优化时间和质量都
自动驾驶泊车算法学习记录
在学习自动驾驶泊车方面的算法,看的论文主要有以下三篇,分别是Path Planning for Autonomous Vehicles in Unknown Semi-structured Environments, DL-IAPS and PJSO: A Path/Speed Decoupled Trajectory Optimization and its Application in Autonomous Driving, Speed Profile Planning in Dynamic Environments via Temporal Optimization
Path Planning for Autonomous Vehicles in Unknown Semi-structured Environments
这篇论文应该只要是学习Hybrid Astar的人都看过,主要讲的是在开放空间搜索泊车路径,第一步先搜索出一条大概满足运动学约束的路径,然后密集插值,在进一步采用CG算法优化平滑度,保持原来关键的位置不变,这样也不用害怕碰撞了,这篇论文进一步求路径点对应的速度
DL-IAPS and PJSO: A Path/Speed Decoupled Trajectory Optimization and its Application in Autonomous Driving
这篇论文是逻辑上和上一篇论文挺像的, 先搜索一条路径,然后对路径点进一步平滑,这个论文平滑的时候会采用一个信赖半径, 发生碰撞了就缩小关键点的可移动范围, 除此之外DL-IAPS and PJSO还求解了路径的速度,这是比较牛逼的,但我看不太懂- -,后续有机会再进一步研究
Speed Profile Planning in Dynamic Environments via Temporal Optimization

思路
我看传统的泊车方法好像都需要先搜索出一条路径,然后再作进一步的处理,我觉得Hybrid Astar的搜索速度非常依赖于地图分辨率,分辨率小了就会很慢,大了就没法精确避障了, 如果直接使用一条直线段连接成的路径作为参考线,不用搜索的结果了,然后对这个直线段采用最优化的方案进行求解效果会如何。TEB就是直接对直线段进行优化,并且也实现了car-like方面的路径规划, 于是我去下载了源码然后跑了一下,发现效果不太好,速度很慢, 很容易出现无解的情况, 我觉得可能是因为TEB还多了一个时间变量需要处理,时空联合规划很容易失败,如果我把这个时间给去掉,在进行优化的话效果会不会就不一样了?
方法

vehicle with trailer kinematic 参考文献

code
代码方面就是把TEB的代价函数复制过来就可以了,优化器改成ceres-solver的, 车辆模型,我不仅实现了汽车模型,还顺带在卡车模型啥也测试了一波。
Result
测试模型包含阿克曼汽车模型以及vehicle with trailer模型, 图中阿克曼就是用一个矩形来描述,卡车模型则用两个矩形来描述,小个的是车头,长条的是车厢(用c++画的图,很简陋- -),绿色框是辅助划线的可以不用管, 其他的多边形则为障碍物,
我以为测试结果会很差,结果还是有点出乎意料的,虽然有的时候会出现无解,但是只要初始线段给的好一点就不会出问题,优化的速度也挺快平均时间大概是0.3s, 路径的质量的评价我觉得主要是看平滑度和曲率大小,只要曲率不会超过车辆最小转弯半径就可以了, 这里我设置的曲率最大是0.155, 列了几组测试图,第一个是直线段参考线和优化后的路径图,第二幅是对应的曲率和航向 whaosoft aiot http://143ai.com
-
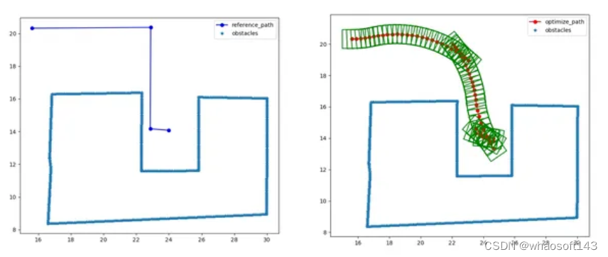
Test1

reference_path(left), optimized path(right)

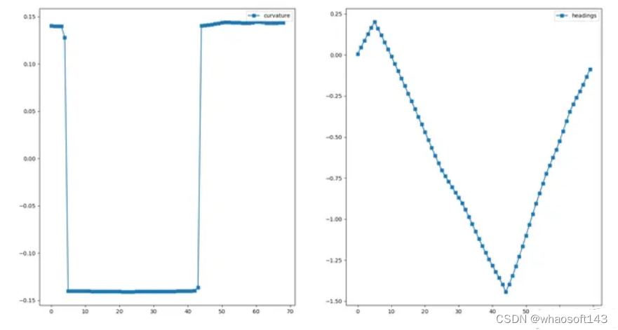
path curvature(left), path heading(right)
-
Test2

reference_path(left), optimized path(right)

path curvature(left), path heading(right)
-
Test3

reference_path(left), optimized path(right)

path curvature(left), path heading(right)
-
Test4

reference_path(left), optimized path(right)

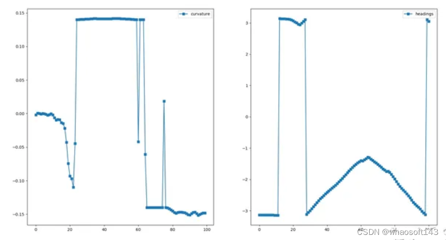
path curvature(left), path heading(right)
-
Test6

reference_path(left), optimized path(right)

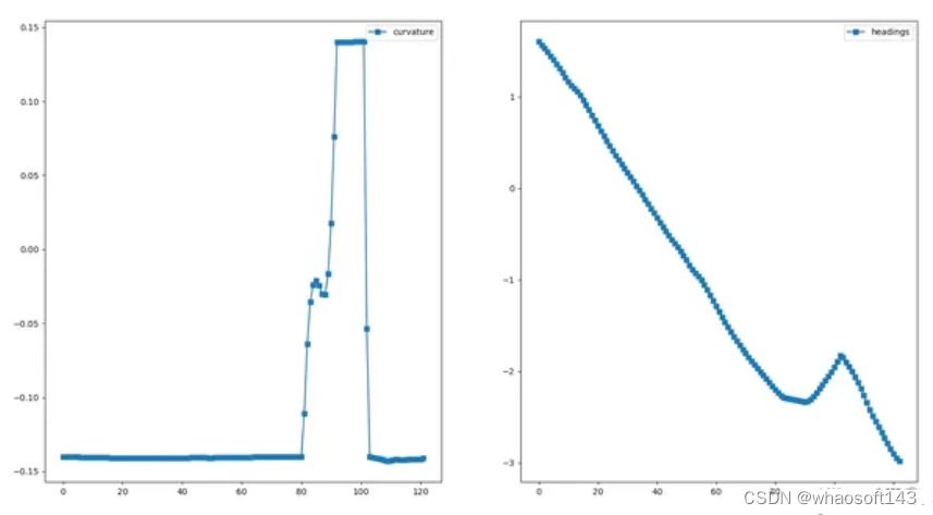
path curvature(left), path heading(right)
视频发不了...
problem
-
路径点的间隔不能小,否则优化时间和质量都会受到影响,这个我觉得后期可以参考上述论文,先优化出一条大概得解,然后再密集插值进一步平滑
-
参数初始化的好坏也会影响到求解结果
-
曲率不连续,虽然路径点曲率都满足要求了,但是曲率还是存在突变
-
倒车次数比较多
魔乐社区(Modelers.cn) 是一个中立、公益的人工智能社区,提供人工智能工具、模型、数据的托管、展示与应用协同服务,为人工智能开发及爱好者搭建开放的学习交流平台。社区通过理事会方式运作,由全产业链共同建设、共同运营、共同享有,推动国产AI生态繁荣发展。
更多推荐

所有评论(0)