什么叫迭代算法?
简单来说,迭代算法从一个初始解(或初始状态)开始,通过一系列的迭代步骤不断改进解,直到满足某种终止条件(比如达到目标精度或者达到最大迭代次数)。是一种通过反复重复某些步骤来逐步逼近问题的解的算法。与递归(通过函数自身调用解决问题)不同,迭代算法通常通过显式的循环结构(例如。经典的迭代算法包括牛顿迭代法、梯度下降法、Jacobi 法、欧几里得算法等,深入理解它们有助于掌握迭代算法的核心思想。牛顿迭代
迭代算法是一种通过反复重复某些步骤来逐步逼近问题的解的算法。与递归(通过函数自身调用解决问题)不同,迭代算法通常通过显式的循环结构(例如 for 或 while 循环)来实现。
简单来说,迭代算法从一个初始解(或初始状态)开始,通过一系列的迭代步骤不断改进解,直到满足某种终止条件(比如达到目标精度或者达到最大迭代次数)。
迭代算法的特点
-
逐步逼近:
- 迭代算法逐步改进解的近似值,通常从一个初始值开始,每次迭代都会计算出一个新的近似值,让解更加接近目标。
-
重复步骤:
- 算法的核心是一组重复的计算步骤,这些步骤在每次迭代中都被执行。
-
终止条件:
- 迭代算法通常会设定一个明确的终止条件,比如:
- 结果的变化量足够小(达到目标精度)。
- 达到最大迭代次数。
- 解满足某些特定的条件。
- 迭代算法通常会设定一个明确的终止条件,比如:
-
效率与精度:
- 迭代算法的效率取决于每次迭代的计算复杂度和收敛速度(逼近解的速度)。
- 精度取决于终止条件的设置。
迭代算法的工作流程
典型的迭代算法可以分为以下几个步骤:
-
初始化:
- 选择一个初始值(或初始解)。这个值可以是一个猜测值,也可以是某种默认值。
-
迭代过程:
- 按照定义的规则重复计算,得到新的解。
-
终止条件:
- 检查是否达到终止条件,如是否达到目标精度或最大迭代次数。如果满足条件,则停止迭代。
-
返回结果:
- 最终返回计算得到的解。
迭代算法的分类与例子
1. 数值计算中的迭代算法
在数值计算中,很多问题的求解依赖迭代算法。例如:
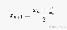
(1)求平方根:牛顿迭代法
牛顿迭代法是一种典型的迭代算法,用于求解非线性方程或逼近函数的根。例如,用牛顿迭代法求一个非负数 a 的平方根。
公式:


#include <stdio.h>
#include <math.h>
// 牛顿迭代法求平方根
double sqrt_iterative(double a, double epsilon) {
double x = a; // 初始猜测值
while (fabs(x * x - a) > epsilon) { // 误差足够小时停止迭代
x = (x + a / x) / 2;
}
return x;
}
int main() {
double a = 25.0;
double epsilon = 0.00001;
printf("Square root of %.2f is %.5f\n", a, sqrt_iterative(a, epsilon));
return 0;
}
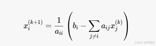
(2)线性代数:Jacobi 迭代法
用于求解线性方程组 Ax=b。
公式:

2. 优化问题中的迭代算法
优化问题中,迭代算法常用于寻找问题的最优解。例如:
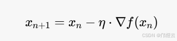
(1)梯度下降法
用于寻找函数的最小值。
公式:

- 初始化:从一个初始点 x0 开始。
- 迭代:向梯度的反方向移动(梯度表示函数增长最快的方向)。
- 终止条件:当梯度足够小或达到最大迭代次数时停止。
3. 离散算法中的迭代
在离散问题中,迭代算法也很常见。例如:
(1)二分查找法
- 目标是在已排序数组中查找目标值。
- 每次迭代将搜索范围缩小一半,直到找到目标值或搜索范围为空。
(2)欧几里得算法
用于求两个数的最大公约数。
公式:

- 通过不断迭代求模,最终找到最大公约数。
#include <stdio.h>
// 欧几里得算法求最大公约数
int gcd(int a, int b) {
while (b != 0) { // 迭代直到 b 为 0
int temp = b;
b = a % b;
a = temp;
}
return a;
}
int main() {
int a = 56, b = 98;
printf("GCD of %d and %d is %d\n", a, b, gcd(a, b));
return 0;
}
迭代算法的优缺点
优点
- 灵活性: 能够处理动态、复杂的问题,如非线性方程、优化问题等。
- 逐步逼近: 通过迭代逐步接近问题的解,适合精度要求高的问题。
- 实现简单: 许多迭代算法直接使用循环即可实现,逻辑清晰。
缺点
- 收敛性: 有些迭代算法可能无法收敛到正确解(如初始值选择不当时)。
- 效率: 迭代算法可能需要大量迭代才能达到期望结果,且每次迭代可能涉及复杂计算。
- 陷入局部最优解: 在某些优化问题中,迭代算法可能陷入局部最优解,无法找到全局最优。
总结
- 迭代算法是一种通过重复计算逐步逼近问题解的算法,广泛应用于数值计算、优化问题、离散算法等领域。
- 它的本质是通过初始化、重复计算和终止条件控制,不断改进解的精度。
- 迭代算法的优势在于灵活性和适应动态问题,但也需要注意收敛性和效率问题。
经典的迭代算法包括牛顿迭代法、梯度下降法、Jacobi 法、欧几里得算法等,深入理解它们有助于掌握迭代算法的核心思想。
魔乐社区(Modelers.cn) 是一个中立、公益的人工智能社区,提供人工智能工具、模型、数据的托管、展示与应用协同服务,为人工智能开发及爱好者搭建开放的学习交流平台。社区通过理事会方式运作,由全产业链共同建设、共同运营、共同享有,推动国产AI生态繁荣发展。
更多推荐




所有评论(0)