《自然语言处理之路》12走进深度学习网络,损失函数,Softmax,反向传播
文章目录书山有路勤为径,学海无涯苦作舟凡事我不能创造的,我就不能理解一、比较二、图像分类2.1计算机识别的挑战2.1.1 角度改变2.1.2 光照的强度2.1.3 形状的改变2.1.4 部分遮蔽2.1.5 背景混入2.2 深度学习的套路3 K-NN算法验证3.1 KNN计算步骤3.2 KNN算法基本要素3.3 数据集 CIFAR-103.4 图像数据的距离计算4.超参数与交叉验证4.1 距离计算4
书山有路勤为径,学海无涯苦作舟
凡事我不能创造的,我就不能理解
一、深度学习

1.1 、图像分类
计算机识别图像,将图像表示为三维数组
1.1计算机识别的挑战
1.1.1 角度改变

1.1.2 光照的强度

1.1.3 形状的改变

1.1.4 部分遮蔽

###1.1.5 背景混入
1.2 深度学习的套路

2 机器学习KNN实现分类任务
2.1 K-NN算法验证
概述:
KNN算法本身简单有效,它是一种lazy-learning 算法。
分类器不需要使用训练集进行训练,训练时间复杂度为0。
KNN分类的计算复杂度和训练集中的文档数目成正比,也就是说,如果训练集中文档总数为n,那么KNN的分类时间复杂度为O(n)。

- 如果K=3,绿色圆点的最近的3个邻居是2个红色小三角形和1个蓝色小正方形,少数从属于多数,基于统计的方法,判定绿色的这个待分类点属于红色的三角形一类。
- 如果K=5,绿色圆点的最近的5个邻居是2个红色三角形和3个蓝色的正方形,还是少数从属于多数,基于统计的方法,判定绿色的这个待分类点属于蓝色的正方形一类。
2.1.1 KNN计算步骤
对于未知类别属性数据集中的点:
1.计算已知类别数据集中的点与当前点的距离
⒉.按照距离依次排序
3.选取与当前点距离最小的K个点_
4.确定前K个点所在类别的出现概率
5.返回前K个点出现频率最高的类别作为当前点预测分类。
2.1.2 KNN算法基本要素
K值的选择,距离度量和分类决策规则是该算法的三个基本要素
问题:该算法在分类时有个主要的不足是,当样本不平衡时,如一个类的样本容量很大,而其他类样本容量很小时,有可能导致当输入一个新样本时,该样本的K个邻居中大容量类的样本占多数
解决:不同的样本给予不同权重项
2.1.3 数据集 CIFAR-10

2.1.4 图像数据的距离计算
KNN进行分类需要求得所有数据与当前样本的距离,如何计算图像之间的距离?
解决:对应像素点相减得到一个差值矩阵,将差值矩阵做累加和,将所有点的值加起来。但是这个做还是存在问题,
结果所示:
结果来看,分类效果并不好。有许多的分类错误。
2.2.2超参数与交叉验证
2.2.1 距离计算
L1:曼哈顿距离 L2:欧式距离
2.2.2问题
- 1.对于距离如何设定?
- 2.对于K近邻的K该如何选择?
- 3.如果有的话,其它的超参数该怎么设定呢?

测试集十分的宝贵,留到各参数都已经验证好了后,再使用。
2.2.3 交叉验证
将训练集进行切分,交叉使用
把训练集再次切分,切分出来一个验证集。把训练集划分5份,随机4份进行训练,最后一份进行验证参数。再次随机其他的4份,剩下一份验证。避免数据中有特殊数据的影响。

x为k值,y为准确率
2.2.4 背景影响
用KNN图像分类,因为是将矩阵之间想减得到差距矩阵。但是有的图像中背景占据了很大的一部分,实体可能只有很小的一部分,用相减的办法就收到背景的影响。我们并不需要背景的信息数据。

不同的变换虽然会导致相同的L2 距离,用KNN来看的话,这几张图片就是一样的,实际上已经不一样了,KNN已经不能识别了。
三、神经网络实现分类任务
3.1.线性分类

找到一个线性函数,通过线性模型的权重w,计算得到不同类别下的得分值。
3.1.1 得分函数

假设输入函数为32323的一个图像,32323 = 3072.
先将3072个的像素点进行拉伸转为为一个列向量。变为【3072,1】,通过一个神经网络的计算,得到每个类别的得分值。
将3072 转换为10个类别的函数,就需要一个矩阵函数【10,3072】
只有 【10,3072】 * 【3072,1】 = 【10,1】
还需要加上一个偏执项的b 【10,1】
假设当前图像猫变为一个一个【4 * 1】的矩阵格式,需要得到三个类别的分类结果。
【3 * 4】 x 【4 * 1】+【3 * 1】 = 【3 * 1】 得到不同类别下的值
得到的值有正值或者负值,表示对当前的结果的正向影响或者负面的影响。
通过线性函数得到分类边界

3.2 损失函数

对于刚才的图像的分类任务,得到的得分值,最终的结果将猫的图片进行分类的时候,在猫类别下的分值为负数,狗的类别的值最高。分类错误,说明分类效果不好。
对于分类效果不好的分类器就需要优化训练。预测错了就应该改正过来。

定义一个损失函数Li,计算得到正确类别的得分值与其他所有错误类别的差异情况
下面为最简单的损失函数
计算损失函数值:
用错误类别的得分值,减去正确类别得分值。加容忍程度,得到的就是损失函数值
+1 表示可容忍程度,自行指定,一般用delta
当max的值比0大就认为有损失值,取得比0 大的值;
比0 小就认为没有损失值,就取0。
如下图所示,如果绿色区域与红色区域的差值,大于delta,就说明损失值比较大,
在红色区间上是属于还是可以容忍的。
需要计算整个模型的效果,评判这个模型的效果需要计算对所有图片的预测结果的损失值,再求一个均值,抛出样本个数的影响。就得到了当前模型的分类效果,损失值小,分类效果好,损失值大,分类效果就不好。
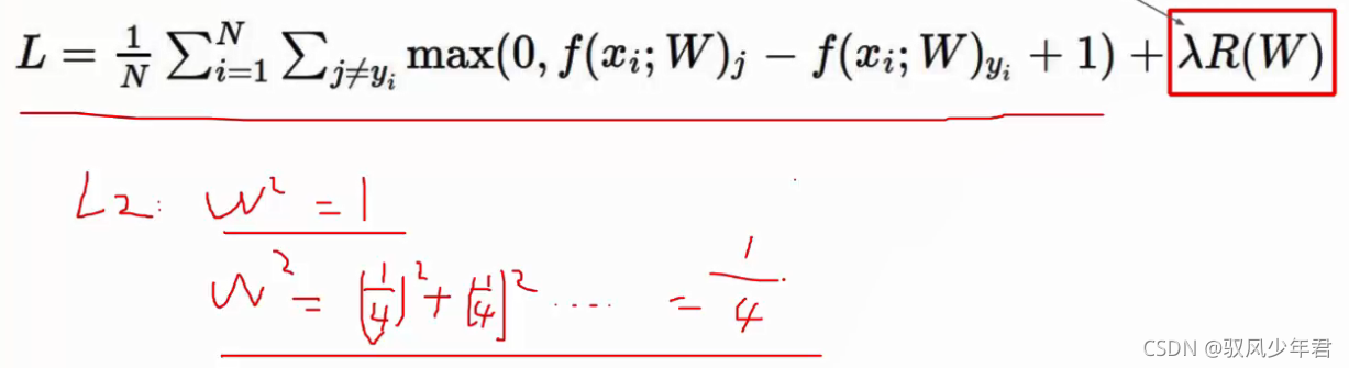
3.3 .正则化惩罚项
假设有一个样本x=【1,1,1,1】 ,有两个模型w1和w2,计算每个样本的预测结果
对样本进行计算
【1,1,1,1】 * 【1,0,0,0】 = 1类别
【1,1,1,1】 * 【0.21,0.25,0.25,0.25 】 = 1类别
得到的结果都是1 。
虽然两个模型的最终值是一样的,但是这两个模型明显对于样本对不同特征的关注程度不一样。
w2相较于w1 ,分布更均匀,我们希望得到一个分布比较均匀的模型,那怎么才能得到w2模型呢?
对损失函数进行扩展,加上惩罚项
怎么算惩罚项的值呢?
在不同模型w1和w2的中参数wi,取平方和!
【1,0,0,0】 的惩罚项的值为 = 12 + 0 + 0 +0 = 1
【0.25,0.25,0.25,0.25】 = 0.252 + 0.252+ 0.252+0.252 = 0.25
w1的惩罚值为1,w2的惩罚值为1/4,在相同的损失值的前提下,加上惩罚项,那么最终的损失值就不一样,对w2的惩罚更小。
损失函数最终版:
容忍项是delta ,加上一个正则化的惩罚项,对每个图片分类的损失值的均值。
3.4.softmax分类器
上面的总结就是:
- 通过一个线性函数得到不同类别下的得分值,通过损失函数计算不同类别下的得分值得到损失值。
以上得到的还是只是一个得分值,我们更希望得到的是一个概率值,属于不同类别下的概率,更加直观,我们就是通过softmax得到不同类别下的概率值。
将得分值转换为概率值,sigmoid函数的二分类任务。输入任意一个实数,映射到一个概率分布,通过概率值在进行分类。

Softmax对输入有进行一个归一化的操作,不同概率之和为1.
Softmax的计算实例
将得到模型x值,计算e的x次方,再归一化,再取- log,使得概率值差异变大。
在归一化后,结果好像还是没有算对,cat的取值为0.13,远比car的0.87小。没算对,所有就有一个损失值,就用一个- log函数表示softmax的损失函数。
因为之前做了个归一化,所以x取值范围取得在0到1的区间上。
Softmax损失函数 (- log)
- log函数的特点:当损失值越大,概率值越小,需要对log函数取一个负号,将数值映射到一个正值。所以 - log就是前面得到的值越小, -log后值就会越大。
我们是对等于正确类别的值的概率值进行计算。
- 先进行 e x方的计算
- 计算得到的结果再归一化,n 1/ n1 + ……ni
- 再将计算的正确类别的概率值取 -log

SVM损失函数与Softmax的损失函数对比
SVM的损失函数是根据得分情况得到的损失值,存在一些问题,如下所示
例如当前有这么一个三分类任务,得到的不同的得分值为【10,9,9】,那么根据SVM计算损失值:
(9 -10 + 1 ) + (9 - 10 + 1) = 0
损失值为0,但是该模型在分类的时候,不同分类的区分度不高,错误类别的得分与正确类别的得分相近。
而Softmax 对做了e的乘方的计算,将区分度更大化,归一化后做的-log变换,会使得损失值的差异更大。
四 优化问题
4.1 机器学习优化 - 梯度下降

在机器学习和神经网络中,都是要寻找到一个参数最优的模型,用该模型去实现分类,和回归。
在实现分类和回归的时候,希望找到一个函数表达式子,可以最好的拟合当前的数据。用实际值与拟合函数的预测值的差值构成一个损失函数。损失越小,拟合的效果就越好,所以需要找到一个损失函数的最小值。
损失函数中有多个θ值,假设现在一个损失函数有10个θ参数构成的,我们就需要找到这个该损失函数值最小的时候的θ的取值。这就涉及到了函数的求导求解最小值的问题,不过是在一个10维度的θ空间,通过不断的求导,在不同维度都按照一个梯度最大的方向向下走,最后就会走到一个低谷。就是损失函数最小的时候的θ值的集合。
4.2 神经网络优化
以上已经完成了从一个输入x,经过w参数模型,得到一个得分值,再将得分值经过e的乘方、归一得到概率、再-log的计算转化为了loss,损失函数值。这个过程就是前向传播
前向传播通过是由BP算法(方向传播)求解优化,求解出最优的w,使得loss值最低。

粗暴的解法:
随机走,每一个方向都走一遍,选择一个方向下山,比较耗时,效果不好。
梯度下降解法:
跟着坡的梯度向下走
Bachsize:通常在使用BP算法的时候,不是一次迭代一张图像,而是一次迭代多张图像,一次迭代多少张看计算机的性能,通常是2的整数次幂(16,32,64,128,等)
下面的代码是从数据中一次性取得256个数据,组成Batch
每次迭代都会对w进行修正,但是每次的修正可能有好也有坏。只要经过大量的迭代,整体的效果就不会差。
EPOCH:
假设一个训练集有4000张图像,一个EPOCH就是将4000张图像都跑完一遍就为一个EPOCH。即为跑完所有数据后得到一个EPOCH
一次迭代:假如一次取得64张的图像为BATCH,完成这64张图像的前向传播加反向传播的过程。即为跑完一个BATCH得到的结果。

当进行反向传播调节修正参数的时候,相当于让网络模型进行一个自我的学习。利用梯度下降来求解学习的方向,一次学多大就是学习率。

学习率过大就可能会一次走过了最低点,通常设置为0.001或者0.0001,小的学习率,多次迭代走到最低点。

3. 反向传播
从x和w得到一个LOSS的值,再反向的传回去修正,什么w需要修正的力度大,什么w修正力度小。
不同的参数对产生的loss值的影响不同
可能是正面的影响,可能是负面的影响。
可能是大的影响,可能是负面的影响。
现在假设有个输入xyz经过传播得到损失值-12,需要计算x、y、z对得到-12的贡献。
反向传播就是需要知道每个节点的贡献程度,通过求得偏导数来得到
例如得到最后的 f= -12 的值 ,求节点 q 和z对其的影响:
- 求q,对q,以q为未知数 g(q) = -4 *q,求导得到g"(q) = -4。q上升一倍,使得最终值下降4倍
- 求z,对z,以z为未知数 g(z) = 3 *z,求导得到g"(z) = 3,z上升一倍,最终值上升3倍数
- 求x的最q的贡献,需要对x求偏导数,为1,所以x对q的影响是1,而q对f做的贡献是-4,根据量式法则,x对f的贡献为 1 * -4,所以x增大一倍,会指的f下降4倍。
- y ,计算和x相同
传播方向是一步步完成的,一层层的传播
复杂点案例:
简化操作
因为如果函数比较fuzha逐步求导比较费时,所以一个函数可以整体求导,比如sigmoid函数可以整体求一次导数,进行反向传播。
门单元:
加法 x+y = q ,求偏导,x和y都是为1。所以就均等分配
MAX,找最大值,梯度直接传给最大值。
乘法是互换
4. 整体架构

连线就是输入与w矩阵的计算,神经元就是计算得到的结果
在神经网络是w参数矩阵组合实现的,最后的结果的得分函数也是在w不断乘积之后得到的。
必须指定的参数: w参数矩阵的shape,是几乘几的矩阵。
为什么神经网络需要这么复杂,简单的Wx就不能完成吗?
wx是一个线性的方程,只能实现线性数据的分类预测
神经网络是一个非线性的结构,有一个激活函数,下图的激活函数是max,激活后再进入下一层。
激活函数
Sigmoid,本身就是非线性的,可以实现将线性的函数转为非线性
MAX激活函数
5. 梯度消失
5.1 Sigmoid函数的梯度消失问题
Sigmoid函数的问题
当sigmoid函数取的正无穷或者负无穷的时候,取值接近于1或者0
在反向传播求导的时候,求不同参数w对于loss的贡献值,就需要进行求导操作,还有一个梯度累积的过程,对于w2需要乘上w3的梯度值。
当得到的值比较大的时候,对sigmoid函数求导的时候会使得求导的值K会接近于0,而且多个梯度累积,会使得最终的sigmoid求导后的值接近于0,出现梯度消失的现象。>
5.2 ReLU函数解决梯度消失

ReLU激活函数,计算简单,而且不会发生梯度消失的现象,在现在的神经网络中已经将Sigmoid函数替换掉了。
6.过拟合解决方案
6.1 过拟合问题
神经元对特征提取的影响
神经元为1个
神经元个数为2
神经元个数为3
神经网络为10
在一些随机的数据面前:
神经元越大,会造成神经网络的过拟合现象非常严重,可以对数据的切分的非常细致。
6.2过拟合的解决方案
正则化惩罚项
正则惩罚项越大,模型泛化的效果越好。神经网络泛泛化能力强,才能应用。
神经元越多,过拟合的风险越大,过拟合的神经网络就废了。
完整的神经网络
数据预处理
当图像数据来了后,并不是直接输出,一般来说需要进行归一化预处理:
- 每个样本都先减去均值,就可以画出一个以0为中心的标准。但是这样x轴浮动的小,y轴的浮动还是很大。(- mean)
- 将每个样本数据处于一个样本的均值。(/ std)
w初始值不能是以0开始的数据,没办法前向传播和反向传播。需要随机初始化,不能全局都是一个相同值初始值,或者是0值的初始化。
b的初始化就是0或者1值初始化开始,常值的初始化。
DROP - OUT
图1 为全连接操作,每一个w和x都进行了全连接操作。
tu2 在训练神经网络的时候,杀死一部分神经元。
在每次训练迭代的时候,随机选择一部分的神经元,不进行前向传播、反向传播的计算与优化。每次选择的神经元都是随机的,可能下次迭代的时候可能会再次选择当前的神经元,也可能选择其他的神经元。
设定DROPOUT设定为60%表示每次训练只选择60%的神经元进行训练和学习。下次再选择其他的60%。
DROPOUT可以降低神经网络的复杂度,降低过拟合的风险,降低计算量。现在的神经网络都需要dropout,降低过拟合。
魔乐社区(Modelers.cn) 是一个中立、公益的人工智能社区,提供人工智能工具、模型、数据的托管、展示与应用协同服务,为人工智能开发及爱好者搭建开放的学习交流平台。社区通过理事会方式运作,由全产业链共同建设、共同运营、共同享有,推动国产AI生态繁荣发展。
更多推荐















>













所有评论(0)