三维重建渲染指标介绍(PSNR SSIM LPIPS)
衡量两张图片之间的相似程度,图片在MSE相同的时候可能会发生图片质量仍然相差很大的情况。PSNR这个指标太单一了,因此SSIM从多个指标进行,包括亮度,对比度和结构相似度三个维度。1、PSNR峰值信噪比(衡量带噪声图片和原始图像之间的差异,用于比较噪声)C1防止像素值为0导致分母为0,这部分取值为0-1,当x和y相同的时候为1。用深度特征与两张图片之间的相似度,使用深度神经网络得出的结果更符合人的
1、PSNR峰值信噪比(衡量带噪声图片和原始图像之间的差异,用于比较噪声)

将MSE代入可以得到
PSNR越大证明MSE越小,说明图像中高频噪声越小

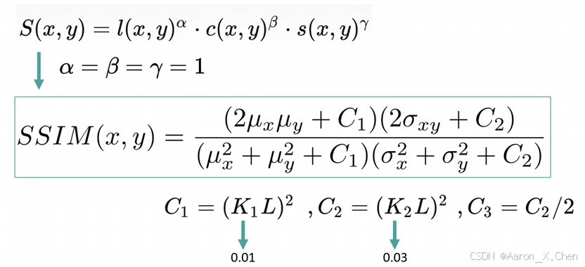
亮度相似度对比两张图像总体亮度差异

C1防止像素值为0导致分母为0,这部分取值为0-1,当x和y相同的时候为1
对比度求图像灰度的标准差来衡量对比度

结构对比度使用相关系数,使用协方差除以方差的积表示

然后将上面三个乘在一起,α β γ放在指数位

取值范围为-1,1,指数为都为1
最后计算得到

实际使用使用高斯核再求SSIM

2、SSIM结构相似性
衡量两张图片之间的相似程度,图片在MSE相同的时候可能会发生图片质量仍然相差很大的情况。PSNR这个指标太单一了,因此SSIM从多个指标进行,包括亮度,对比度和结构相似度三个维度
3、LPIPS(Learned Perceptual lmage Patch Similarity)学习感知图像块相似度
用深度特征与两张图片之间的相似度,使用深度神经网络得出的结果更符合人的感知

图像相似度越低,深度特征之间差异越大,LPIPS越小越好
魔乐社区(Modelers.cn) 是一个中立、公益的人工智能社区,提供人工智能工具、模型、数据的托管、展示与应用协同服务,为人工智能开发及爱好者搭建开放的学习交流平台。社区通过理事会方式运作,由全产业链共同建设、共同运营、共同享有,推动国产AI生态繁荣发展。
更多推荐


所有评论(0)