遗传算法的优缺点_目标规划——遗传算法
1. 遗传算法简介遗传算法是用于解决最优化问题的一种搜索算法,算法的整体思路是建立在达尔文生物进化论“优胜劣汰”规律的基础上。它将生物学中的基因编码、染色体交叉、基因变异以及自然选择等概念引入最优化问题的求解过程中,通过不断的“种群进化”,最终得到问题的最优解。2. 遗传算法实现步骤在讲下面几个基于生物学提出的概念之前,首先我们需要理解为什么需要在最优化问题的求解中引入生物学中的各种概念。假设我们
1. 遗传算法简介
遗传算法是用于解决最优化问题的一种搜索算法,算法的整体思路是建立在达尔文生物进化论“优胜劣汰”规律的基础上。它将生物学中的基因编码、染色体交叉、基因变异以及自然选择等概念引入最优化问题的求解过程中,通过不断的“种群进化”,最终得到问题的最优解。
2. 遗传算法实现步骤
在讲下面几个基于生物学提出的概念之前,首先我们需要理解为什么需要在最优化问题的求解中引入生物学中的各种概念。
假设我们需要求一个函数的最大值,但这个函数异常复杂以至于无法套用一般化的公式,那么就会想到:如果可以将所有可能的解代入方程,那么函数最大值所对应的那个解就是问题的最优解。但是,对于较复杂的函数来说,其可能的解的个数的数量级是我们所无法想象的。因此,我们只好退而求其次,只代入部分解并在其中找到最优解。那么这样做的核心就在于如何设定算法确定部分解并去逼近函数的最优解或者较好的局部最优解。
遗传算法就是为了解决上述问题而诞生的。假设函数值所对应的所有解是一个容量超级大的种群,而种群中的个体就是一个个解,接下去遗传算法的工作就是让这个种群中的部分个体去不断繁衍,在繁衍的过程中一方面会发生染色体交叉而产生新的个体。另一方面,基因变异也会有概率会发生并产生新的个体。接下去,只需要通过自然选择的方式,淘汰质量差的个体,保留质量好的个体,并且让这个繁衍的过程持续下去,那么最后就有可能进化出最优或者较优的个体。这么看来原来最优化问题居然和遗传变异是相通的,而且大自然早已掌握了这样的机制,这着实令人兴奋。为了将这种机制引入最优化问题并利用计算机求解,我们需要将上述提到的生物学概念转化为计算机能够理解的算法机制。
下面介绍在计算机中这种遗传变异的机制是如何实现的:
基因编码与解码:
在生物学中,交叉与变异能够实现是得益于染色体上的基因,可以想象每个个体都是一串超级长的基因编码,当两个个体发生交叉时,两条基因编码就会发生交换,产生的新基因同时包含父亲和母亲的基因编码。在交叉过程中或者完成后,某些基因点位又会因为各种因素发生突变,由此产生新的基因编码。当然,发生交叉和变异之后的个体并不一定优于原个体,但这给了进化(产生更加优秀的个体)发生的可能。
因此,为了在计算机里实现交叉和变异,就需要对十进制的解进行编码。对于计算机来说其最底层的语言是由二进制0、1构成的,而0、1就能够被用来表示每个基因点位,大量的0、1就能够表示一串基因编码,因此我们可以用二进制对十进制数进行编码,即将十进制的数映射到二进制上。但是我们并不关心如何将十进制转换为二进制的数,因为计算机可以随机生成大量的二进制串,我们只需要将办法将二进制转化为十进制就可以了。
二进制转换为十进制实现方式:
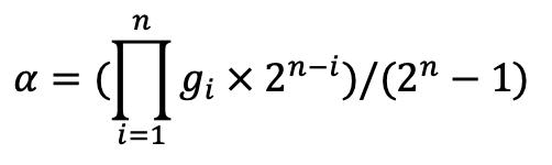
假设,我们需要将二进制映射到以下范围:
首先,将二进制串展开并通过计算式转化为[0,1]范围内的数字:
将[0,1]范围内的数字映射到我们所需要的区间内:
交叉与变异:
在能够用二进制串表示十进制数的基础上,我们需要将交叉与变异引入算法中。假设我们已经获得两条二进制串(基因编码),一条作为父亲,一条作为母亲,那么交叉指的就是用父方一半的二进制编码与母方一半的二进制编码组合成为一条新的二进制串(即新的基因)。变异则指的是在交叉完成产生子代的过程中,二进制串上某个数字发生了变异,由此产生新的二进制串。当然,交叉与变异并不是必然发生的,其需要满足一定的概率条件。一般来说,交叉发生的概率较大,变异发生的概率较小。交叉是为了让算法朝着收敛的方向发展,而变异则是为了让算法有几率跳出某种局部最优解。
自然选择:
在成功将基因编码和解码以及交叉与变异引入算法后,我们已经实现了让算法自动产生部分解并优化的机制。接下去,我们需要解决如何在算法中实现自然选择并将优秀的个体保留下来进而进化出更优秀的个体。
首先我们需要确定个体是否优秀,考虑先将其二进制串转化为十进制数并代入最初定义的目标函数中,将函数值定义为适应度。在这里,假设我们要求的是最大值,则定义函数值越大,则其适应度越大。那是否在每一轮迭代过程中只需要按照适应度对个体进行排序并选出更加优秀的个体就可以了呢?事实上,自然选择的过程中存在一个现象,并没有说优秀的个体一定会被保留,而差劲的个体就一定被会被淘汰。自然选择是一个概率事件,越适应环境则生存下去的概率越高,反之越低。为了遵循这样的思想,我们可以根据之前定义的适应度的大小给定每个个体一定的生存概率,其适应度越高,则在筛选时被保留下来的概率也越高,反之越低。
那么问题就来了,如何定义这种生存概率,一般来说,我们可以将个体适应度与全部个体适应度之和的比率作为生存概率。但我们在定义适应度时使用函数值进行定义的,但函数值是有可能为负的,但概率不能为负。因此,我们需要对函数值进行正数化处理,其处理方式如下:
定义适应度函数:
定义生存概率函数:
注:最后一项之所以加上0.0001是因为不能让某个个体的生存概率变为0,这不符合自然选择中包含的概率思想。
3. 遗传算例
在这里以一个比较简单的函数为例,可以直接判断出函数的最小值为0,最优解为(0,0)
若利用遗传算法进行求解,设定交叉概率为0.8,变异概率为0.005,种群内个体数为2000,十进制数基因编码长度为24,迭代次数为500次。
从遗传算法收敛的动态图中可以发现,遗传算法现实生成了大量的解,并对这些解进行试错,最终收敛到最大值,可以发现遗传算法的结果大致上与最优解无异,结果图如下:
4. 遗传算法优缺点
优点:
1、 通过变异机制避免算法陷入局部最优,搜索能力强
2、 引入自然选择中的概率思想,个体的选择具有随机性
3、 可拓展性强,易于与其他算法进行结合使用
缺点:
1、 遗传算法编程较为复杂,涉及到基因编码与解码
2、 算法内包含的交叉率、变异率等参数的设定需要依靠经验确定
3、 对于初始种群的优劣依赖性较强
下一节分享内容:Python和Matlab遗传算法实现展示
若对以上内容有疑问可关注微信公众号“TES工作室”进行咨询。
出品/TES工作室
魔乐社区(Modelers.cn) 是一个中立、公益的人工智能社区,提供人工智能工具、模型、数据的托管、展示与应用协同服务,为人工智能开发及爱好者搭建开放的学习交流平台。社区通过理事会方式运作,由全产业链共同建设、共同运营、共同享有,推动国产AI生态繁荣发展。
更多推荐


所有评论(0)