永磁同步电机无速度算法--基于磁链模型模型参考自适应
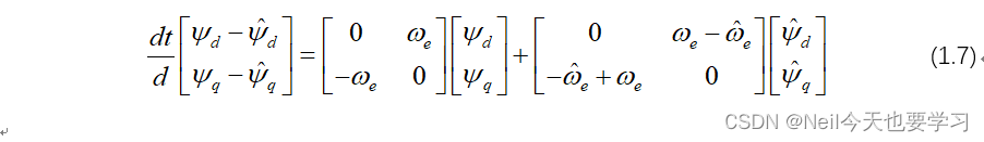
SPMSM在同步旋转坐标系的定子电压数学模型为同步旋转坐标系下的永磁同步电机定子磁链方程为因此,同步旋转坐标系的定子电压数学模型可以写为定义由式(1.4)代入(1.3)得到参考模型的状态空间表达式:将式(1.5)电机转速、定子磁链用估计值表示,得到定子磁链可调模型:将式(1.5)减去式(1.6),电机实际值与观测估算值之间的误差状态方程:为证明系统稳定性,将式(1.7)分为线性时不变和非线性时变反
PMSM学习笔记
目前大部分模型参考自适应无速度算法都是基于定子电流模型,这里介绍一下基于磁链模型的模型参考自适应无速度算法,其实基于两种模型的算法没有什么本质区别,就当多一些了解吧,仍然是基于SPMSM,Ld=Lq,改用在IPMSM也是同样原理。
一、原理介绍
SPMSM在同步旋转坐标系的定子电压数学模型为

同步旋转坐标系下的永磁同步电机定子磁链方程为

因此,同步旋转坐标系的定子电压数学模型可以写为

定义

由式(1.4)代入(1.3)得到参考模型的状态空间表达式:

将式(1.5)电机转速、定子磁链用估计值表示,得到定子磁链可调模型:

将式(1.5)减去式(1.6),电机实际值与观测估算值之间的误差状态方程:

为证明系统稳定性,将式(1.7)分为线性时不变和非线性时变反馈系统。证明线性时不变的稳定性,及选取合适的自适应律,并证明非线性时变的稳定性

根据Popov理论证明稳定性(详细推导略),对Popov不等式进行逆向求解可以得到转速自适应律:
![]()
转子的估算位置角是对转速的积分,即:

二、仿真验证
1.固定参数下的仿真
在MATLAB/simulink里面验证所提算法,采用和实验中一致的控制周期1e-4,电机部分计算周期为1e-6。仿真模型如下所示:

仿真条件:初始给定转速600rpm,带半载启动,0.2s时负载增加至满载,0.5s时给定转速阶跃到1200rpm
下图为给定转速、实际转速和估计转速,可以看出跟踪效果还是可以的,稳态时转速误差不超过20rpm;施加阶跃负载时,转速跌落也比较小。

下图为转子位置估计误差(实际转子位置减去估计转子位置),在±0.02rad之间,转换成度数就是在±1.15°之间,还是比较好的

2.变化参数下的仿真
与永磁同步电机无速度算法--同时辨识转速和电阻的模型参考自适应-CSDN博客类似,增加电阻辨识算法,原理推导不再赘述。设置电机实际电阻为控制器中电阻值3倍,模拟随着运行温度升高导致电阻阻值增加。对比有无电阻辨识算法的MRAS控制性能。
2.1空载启动
给定转速、实际转速和估计转速(左图:无电阻辨识算法;右图:增加电阻辨识算法)


2.2带载启动
给定转速、实际转速和估计转速(左图:无电阻辨识算法;右图:增加电阻辨识算法)


综上,可以看出增加电阻辨识算法后,对于控制稳定性的增加和估计误差的减小的效果还是很明显的。
魔乐社区(Modelers.cn) 是一个中立、公益的人工智能社区,提供人工智能工具、模型、数据的托管、展示与应用协同服务,为人工智能开发及爱好者搭建开放的学习交流平台。社区通过理事会方式运作,由全产业链共同建设、共同运营、共同享有,推动国产AI生态繁荣发展。
更多推荐

所有评论(0)